Jump to
main body

Jump to
animations list

Jump to
discussions list

Jump to
discussions and animations list

Jump to
main body


A  Physics  Model The  Simple  Model The  Simple  Universe


Close this pop-up window Go to top

A  Physics  Model The  Simple  Model The  Simple  Universe

Why Does An Electron Move Questions and modern physics answers of interest

This is a question posted on the public forum Quora asking why does an electron move towards a proton

"Why is an electron moving towards a proton?"

And the reply (copyright Mel Siegel 2018)

The electron is observed to have a property that we call charge

We observe that there are two kinds of charge. We arbitrarily call them positive and negative

We arbitrarily call the electron's charge negative. The proton is then observed to have a positive charge equal in magnitude to the negative electron's charge

We observe a rule of nature called "Coulomb's Law"

Oppositely signed charges attract (and same signed charges repel) with a force proportional to the product of the charges and inversely proportional to the square of the distance between them

This "Coulomb Force" causes protons and electrons to attract each other, and that attraction governs their motions

"Why?" is not a good question

Coulomb's Law is simply a property of nature that we observe

For every answer to "Why?" that I give you, if you are really thinking, you will see there will be another "Why?" question that you will have to ask at a deeper level

So there's no point in asking the first "Why?"

Summary

In physics, there is no point in asking why, or how, something happens


As a note, the mathematical form of this physics model, is a physics engine that processes the behaviour of a three dimensional strand shaped particle, that moves continuously at a single constant speed, against a static universal reference frame, in three dimensional space


As a note, at the initial starting point of this physics model, there is no concept of variation in speed, or of variation in time, or of variation in lengths of yardsticks

There is no concept of matter or antimatter, or of positive or negative electric charge, or of mass

There is no concept of electric fields, or of magnetic fields, or of gravitational fields

There is no concept of electrons, protons, particles of light, neutrinos, or of atoms

The aim is to manufacture those concepts using the strand shaped particle

Allowing the why, the how, and the what is it, for those concepts, to be understood


As a note, in this physics model, asking the question

"Why, or how, does an electron move towards a proton?"

Is not an endless question, it is not a pointless question

Return to top

Close this pop-up window Go to top

A  Physics  Model The  Simple  Model The  Simple  Universe

How To Derive Physics Questions and modern physics answers of interest

This is a question posted on the public forum Quora asking what are the assumptions required to derive physics

"If you needed to be able to derive all of physics from a bare minimum of assumptions, what would those exact input assumptions be?"

"Assume you have an infinitely fast computer to compute whatever you need"

And the reply (copyright Viktor T. Toth 2021)

The fundamentals?

Start with 3+1 spacetime dimensions with a smooth metric used to form inner products and integration volume elements. Introduce the Lagrangian principle of least action using generalized coordinates and their derivatives. Introduce a Legendre-transform to obtain the Hamiltonian representation

Next, generalize the Hamiltonian and solve for the system state, recognizing that linear combinations of states represent valid solutions, thus transitioning to quantum physics

Now fill this framework with content in the form of the specific Lagrangian of the Standard Model of particle physics. Using statistics and probability, deduce the laws of thermodynamics and the concept of entropy

Finally, assume that the spacetime is expanding (i.e. on average it is an FLRW spacetime with a positive Hubble parameter at present) and that it had a low entropy initial condition

In broad terms, this should do the trick, building a mathematical model of the universe to the best of our (incomplete) present-day knowledge, without venturing into speculative domains, untested / unproven theories

But, I fear, unless it is a magical device, no computer will help you to actually simulate such a universe unless you're willing to take shortcuts (you know, just like how objects sometimes remain in the air, or explosions remain unfinished in computer games, if you leave the scene too quickly. Or how distant things not only become fuzzy but vanish)

Otherwise, you will find that the computational complexity is such that your simulation in fact becomes an actual copy, full-scale replica of the universe

Summary

Complex assumptions are required to derive physics


As a note, the mathematical form of this physics model, is a physics engine that processes the behaviour of a three dimensional strand shaped particle, that moves continuously at a single constant speed, against a static universal reference frame, in three dimensional space


As a note, in this physics model, the shape of a particle is important

Return to top

Close this pop-up window Go to top

A  Physics  Model The  Simple  Model The  Simple  Universe

Equation For The Standard Model Questions and modern physics answers of interest

This is a question posted on the public forum Quora asking what the equation for the Standard Model of particle physics looks like

"What is the shortest, most rigorous mathematical description of the Standard Model of particle physics?"

And the reply (copyright Viktor T. Toth 2018)

This (with apologies if I cannot make the TEX come out right; and, of course, for any typos)


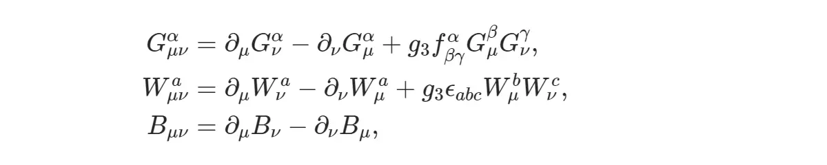
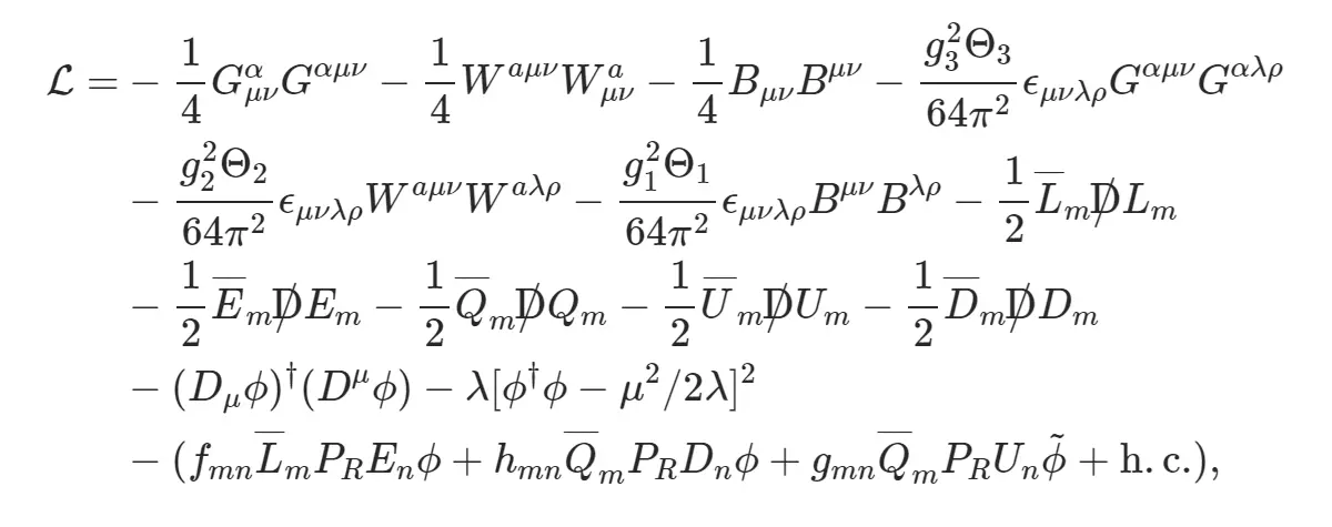
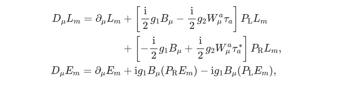
standard model equation part 1


Where


standard model equation part 2


And


standard model equation part 3


standard model equation part 4


For more information (including detailed definitions of these symbols and how they represent the various fields of the Standard Model and their interactions), I recommend a textbook, e.g. The Standard Model by Burgess and Moore

Summary

The equation for the Standard Model of particle physics is complex


As a note, the mathematical form of this physics model, is a physics engine that processes the behaviour of a three dimensional strand shaped particle, that moves continuously at a single constant speed, against a static universal reference frame, in three dimensional space


As a note, in this physics model, the shape of a particle is important

Return to top

Close this pop-up window Go to top

A  Physics  Model The  Simple  Model The  Simple  Universe

Why Is Physics Complex Questions and modern physics answers of interest

This is a question posted on the public forum Quora asking why is physics complex

"Why are sciences like physics and mathematics so complex?"

And the reply (copyright Luqman K 2024)

Sciences like physics and mathematics are often perceived as complex due to several key factors


1. Abstract Concepts

Physics: Explores fundamental principles governing the universe, such as quantum mechanics, relativity, and electromagnetism. These concepts often defy everyday experiences and intuition

Mathematics: Involves abstract structures and logical frameworks, which require a high level of abstraction and logical thinking


2. Specialized Language and Notation

Terminology: Both fields use precise and often unfamiliar terminology

Symbols and Formulas: Mathematical symbols and equations can be intimidating and require practice to understand and manipulate


3. Cumulative Knowledge

Foundational Understanding: Mastery of basic principles is essential as these fields build on previous knowledge. Missing foundational concepts can make advanced topics seem insurmountable

Interconnected Topics: Concepts in physics and mathematics are highly interrelated, making it necessary to understand multiple areas to grasp a single concept fully


4. Problem-Solving Skills

Analytical Thinking: Both sciences require strong analytical and problem-solving skills to break down complex problems into manageable parts

Logical Reasoning: Deductive reasoning and the ability to follow logical arguments are crucial

Summary

Physics is complex because physics is based on complex concepts


As a note, the mathematical form of this physics model, is a physics engine that processes the behaviour of a three dimensional strand shaped particle, that moves continuously at a single constant speed, against a static universal reference frame, in three dimensional space


As a note, in this physics model, the shape of a particle is important

Return to top

Close this pop-up window Go to top

A  Physics  Model The  Simple  Model The  Simple  Universe

Are Particles Real Questions and modern physics answers of interest

This is a question posted on the public forum Quora asking whether in physics, the concept of a particle is real

"Are any particles 'real'?"

"Or is every particle an excitation of some QCD field?"

"Are protons therefore, excitations in a quark-gluon field?"

"What about neutrinos?"

And the reply (copyright Viktor T. Toth 2024)

Yes, all elementary particles are excitations of the corresponding quantum fields

(Composite particles, like the proton, are bound states of such excitations)

But ultimately, what is "real" and what is not "real" is a metaphysical question. So let's start with a practical definition

Something is "real" if two observers agree on it, regardless of their own motion

For instance, absolute motion is not "real" - to an observer moving along with the object, the object will appear motionless

But relative motion is "real"

If one observer sees two objects moving at different speeds and / or in different directions, all other observers will see the same. The actual values will be observer-dependent, but no observer will see these two objects as not moving relative to each other

So in this vein, are particles real? Perhaps not

The particle-content that an observer sees may depend on that observer's motion

An observer who is accelerating in an otherwise empty universe, will see Unruh radiation - photons arriving from the apparent (Rindler) horizon that characterizes his acceleration

An inertial observer will see no Unruh radiation

Actually, the picture gets more complicated, since in order to actually "see" that Unruh radiation, the observer must interact with the electromagnetic field, which ultimately involves charges

So the inertial observer now sees the accelerating observer carrying accelerating charges and thus producing electromagnetic radiation...

The devil is in the details, but the end result is that the two observers' observed particle content is not the same

On a tad more technical level, it boils down to decomposing fields using a Fourier transform

What is the basis for that transform?

The decomposition is not unique when accelerating reference frames are permitted. Decompositions with respect to different reference frames, correspond to different descriptions of the same field in terms of particle-content

Having said that... As I said, "real" is in the eye of the beholder

When an electron hits the fluorescent screen of an old school CRT, causing a flash of light that we see... How can we possibly say that this electron is not "real"?

We may know that it is "only" an excitation of the electron field, and that a rapidly accelerating observer nearby might see, for example, additional electron-positron pairs that we don't see, but so what?

The screen flashed. That's an event

And ultimately, events are "real", however they are interpreted in different observer reference frames, with whatever particle content might be associated with the event in these frames

Summary

A particle is an excitation of a quantum field


As a note, the mathematical form of this physics model, is a physics engine that processes the behaviour of a three dimensional strand shaped particle, that moves continuously at a single constant speed, against a static universal reference frame, in three dimensional space


As a note, in this physics model, the shape of a particle is important

Return to top

Close this pop-up window Go to top

A  Physics  Model The  Simple  Model The  Simple  Universe

Neutron Is A Proton And Electron Questions and modern physics answers of interest

This is a question posted on the public forum Quora asking if the neutron could be a proton and an electron

"How do we know a neutron is a fundamental particle and not an electron and proton combined?"

And the reply (copyright Philip Freeman 2018)

There are a couple of good answers here (and a couple of, er, nonstandard ones) but I've been asked to answer so here's my best attempt

First it is now clearly known that the neutron is NOT a fundamental particle, but this was not always the case. So I am going to approach this first in a historical context, from the early days when we didn't know what neutrons were made of

The idea that a neutron is a proton bound together with an electron was actually proposed early in the history of particle physics, a proposal by Rutherford himself

The reasons were the obvious ones: first the mass of a neutron is a bit heavier than the mass of a proton, suggesting it could be a proton + something else...

Though the numbers aren't quite right for that something else to be an electron, it was close enough that binding energy of some sort could maybe make the difference?

And, secondly, the neutron decayed into a proton and an electron... so didn't it make sense that it should be made of those?

The masses look OK, the charges add up right... and it keeps things simple

What's not to like?

There are three main issues with this, all of which were well understood by the late 1920s, before the actual discovery of the neutron in 1931

The first is that electrons are just too BIG to fit into a nucleus, never mind something smaller

What do I mean by big here?? Aren't electrons point particles

Those are excellent objections... but you see size isn't a well defined thing at this level

The size of something can be defined as "how close do you have to get before the object starts acting like something other than a point particle" and by that definition an electron is definitely tiny... if it has any structure it is certainly at scales less than 10−18m

But in another sense 'size' is "how small a box can the object fit in" and by that definition (clearly more relevant here) an electron is quite large... depending on its energy

At the energy it would have to have to be confined in a nucleus, the electron would have to be much too large to be confined in a nucleus (which is good, because that's what makes atoms the size they are!)

The second issue was a technical one, though related

It was a proof by Klein, that showed that even ignoring this issue about size, (though for related reasons) electrons were just crazy slippery critters...

In fact the developing quantum theory showed that they would pass through any small barrier, no matter how solid (more precisely, no matter how deep the potential well, it could not confine an electron or anything of similar energy)

So even if you could confine an electron in that small a box, it couldn't be made to stay there

The final nail in the coffin of the idea that a neutron was an electron + proton came from the developing idea of spin in the mid to late 1920s

Dirac (and others) showed that particles had an intrinsic property now known as spin, and that this divided particles into two 'kinds'

One kind, with integer spins (0, ±1, ±2, etc.), behaved in one way (in particular they 'don't take up space' so they can be overlapped with one another... like light which doesn't 'bounce off' other light but just passes through) and those with half integer spins (±1/2, ±3/2 etc) which can't overlap each other

Protons, neutrons, and electrons all have ±1/2 spin, they don't overlap

Indeed particles of this class (fermions) are often referred to as 'matter' particles because this is a property we associate with matter

But spins, like charges, add up

So the spin of an electron + proton combo would have to be either 0 or 1, and neutons had a half integer spin

Therefore they could not be made that way. Otherwise the nucleus wouldn't form the way it does (because the neutrons would all collapse into the centre)

So again, this is a good thing if you like the kind of universe we have (I admit I'm quite partial to it!)

Of course we eventually figured out that both protons and neutrons were made of 3 quarks each... and not fundamental at all

But that's another story...

Summary

The neutron cannot be a proton and an electron because the neutron, proton and electron all have a half integer spin, and spins add up

Return to top

Close this pop-up window Go to top

A  Physics  Model The  Simple  Model The  Simple  Universe

Electromagnetism And Gravity Questions and modern physics answers of interest

This is a question posted on the public forum Quora asking if electromagnetism and gravity could be connected

"Is there a theory on how electromagnetism could be used to create gravity?"

And the reply (copyright Viktor T. Toth 2017)

Yes, Kaluza-Klein theory is an attempt to unify (classical) electromagnetism and gravity

There have been other attempts

Weyl proposed that the electromagnetic four-potential be treated on the same footing as the metric of gravity, as fundamental geometric properties of spacetime

Then there is, of course, Einstein's own attempt to achieve unification, by postulating a nonsymmetric metric tensor, which can naturally be split into a symmetric (gravity) and antisymmetric (electromagnetism) part

These attempts all date back to the 1930's and the 1920's, even the 1910's

There is a reason for that: after the 1930's, breakthroughs took physics in a different direction

Instead of unifying classical electromagnetism with gravity, electromagnetism became the first quantized field theory, later to be unified with the weak nuclear interaction, and ultimately, in the form of the Standard Model of particle physics, with the strong interaction as well

So there is not much point these days trying to unify classical electromagnetic theory with gravity, when in fact the best theory that we have is the SU(3)xSU(2)xU(1) gauge theory of the Standard Model, of which electromagnetism is but a small part

And in any case, these attempts to unify classical electromagnetism with gravity, do not lead to any practical utility: no antigravity machines, no "spindizzies" (from the Cities in Flight science-fiction novels of James Blish)

Rather, the coupling between electromagnetism and gravity remains exactly as before, it's just that there were different proposed underlying mechanisms

And that coupling is what it always is: the stress-energy-momentum tensor of the electromagnetic field is a source of gravity, and the gravitational field affects the electromagnetic field and its propagation

But the coupling is weak because the gravitational constant is weak

To produce a notable gravitational field, huge quantities of matter would need to be converted directly into electromagnetic energy...

And what's the point, when that same matter can be a source of a gravitational field already, due to its own non-zero stress-energy-momentum tensor

Summary

There is no point in connecting gravity with electromagnetism

Return to top

Close this pop-up window Go to top

A  Physics  Model The  Simple  Model The  Simple  Universe

Strong Force And Two Protons Questions and modern physics answers of interest

This is a question posted on the public forum Quora asking why isn't the strong force able to keep two protons together

"Does the strong force create attraction between two protons, or must there be a neutron?"

And the reply (copyright Viktor T. Toth 2016)

The residual strong (aka. nuclear) force doesn't care about the charge, so neutrons and protons are pretty much the same

However, the nuclear force does care about the particles' spin

It is stronger between particles with spins aligned than between particles with opposing spins

If you had an atom with two protons only, and they were both in a ground (lowest energy) state, their spins must be opposite due to the Pauli exclusion principle, so the nuclear force is weaker; too weak to overcome the electrostatic repulsion between the protons

In contrast, if you had an atom with a proton and a neutron, their spins can be aligned, resulting in a much stronger binding by the nuclear force (and of course, no electrostatic repulsion)

Which is why 2H (a proton and a neutron) is a stable isotope of hydrogen (deuterium), but 2He (two protons) is not a stable isotope of helium

Summary

The strong force is strong, but the strong force is not strong enough to keep two protons of opposite spin together


As a note, in atomic nuclei that have more than two protons or two neutrons, are the protons and neutrons all in their lowest energy ground states

Return to top

Close this pop-up window Go to top

A  Physics  Model The  Simple  Model The  Simple  Universe

Why Do Electrons Emit Photons Questions and modern physics answers of interest

This is a question posted on the public forum Quora asking why electrons emit photons

"Why do electrons emit photons?"

And the reply (copyright Viktor T. Toth 2016)

Electrons carry electric charge

Electric charge is the source of the electromagnetic field

So electrons interact with the electromagnetic field

In a quantum field theory, this interaction between the electronic field and the electromagnetic field comes in set chunks, set units at any given frequency / energy

Therefore, whenever an electron interacts with the electromagnetic field, this interaction is in the form of emitting or absorbing such a unit, or quantum, of electromagnetic field energy

That quantum is known as the photon

In contrast, electron neutrinos do not interact with (emit or absorb) photons at all, despite the fact that apart from their lack of electric charge and smaller mass, they are just like electrons

On the other hand, W-bosons, which are, very crudely speaking, just like electrons with their electron-ness removed (that is, an electron can emit an electron neutrino and turn into a W-boson), do interact with (emit and absorb) photons

So it really is the electric charge. If there was no electric charge, the electromagnetic field would exist just by itself, without interacting with anything else. No photons would be emitted or absorbed

Summary

Electrons emit photons because electrons carry electric charge

Return to top

Close this pop-up window Go to top

A  Physics  Model The  Simple  Model The  Simple  Universe

When An Electron Emits A Photon Questions and modern physics answers of interest

This is a question posted on the public forum Quora asking where do emitted photons come from

"When an electron emits a photon (moving down in energy levels) where does the photon come from?"

"Does it come from within the electron, space, or something else?"

And the reply (copyright David Kahana 2017)

You say the electron moves down in energy level. This implies you are talking about an electron that is bound in an atom, or in a molecule, or in some way in some system, so that a lower energy state is available

It is not a continuum electron in other words. A continuum electron cannot emit a photon unless it interacts with something else that changes its momentum

Consider the case of a bound atomic electron

In this case, the photon comes about, it is produced, because the electron, in a higher energy state of the atom couples, via the electromagnetic field, to that same electron in a lower energy state of the atom

The result of the coupling is that the atom enters into a superposition state, whereby it gradually transitions from the upper state down to the lower state, through a transition operator, which depends on the nature of the two electronic states

Gradually is a relative term - the actual transition time will depend on various factors. Typically atomic transitions are very fast when they are allowed and the energy difference between the states is large

For the most highly favored, the so-called allowed atomic transitions, the transition operator will be an electric dipole operator. This is called an E1 transition

The superposition of the lower atomic state and the higher atomic state, produces what is called a transition dipole moment, which fluctuates in time with exactly the frequency difference between the two states

This time dependent electric dipole moment is what creates the photon, because it excites the electromagnetic field

Now there is more than one way that such a decay can happen - it might go by two photons, or three photons if selection rules allow that. But these are higher order processes in QED and so they are much more rare

The energy for the photon comes from the increase in the magnitude of binding energy of the atom

So in this case, it is the change in state of the atom that can be said to produce the photon

Summary

When an electron emits a photon, the emitted photon comes from the time dependent electric dipole moment exciting the electromagnetic field

Return to top

Close this pop-up window Go to top

A  Physics  Model The  Simple  Model The  Simple  Universe

How Does Light Have Momentum Questions and modern physics answers of interest

This is a question posted on the public forum Quora asking how light has momentum

"How does light have momentum without having any mass?"

"Isn't that a contradiction?"

And the reply (copyright Viktor T. Toth 2018)

Oh, so you paid attention in high school. Momentum is mass times velocity. Good!

And it is indeed true... in simple physical scenarios that do not involve relativistic velocities

But contrary to what your science teacher may have told you, this is not the definition of momentum

In fact, the formal definition gets rather complicated and involves Lagrangian and Hamiltonian physics, so let me just present one of the results

The relativistic momentum of a point particle:
p = mv / √(1 − v2 / c2)

In the nonrelativistic limit,
v / c is very small,
and the denominator becomes approximately 1,
and we get back
p = mv

But this is not true for particles moving at or near the speed of light

So far so good, but even this expression for the relativistic momentum won't do the trick for the photon:
since m = 0
and v = c,
we just get
p = 0 / 0,
which is indeterminate

That is a step in the right direction (at least it's not zero!) but not enough

So then, what else can we do? Well, there is another relationship involving momentum: the so-called dispersion relation, which says that
E2 − (pc)2 = (mc2)2

You might have seen a simpler form of this relationship, expressed in the particle's rest frame
where
p = 0
then
E2 = (mc2)2
or simply
E = mc2

Familiar, no? But this form does not apply to the photon, because photons have no rest frame

Instead, for photons,
m = 0
hence we're left with
E2 = (pc)2
or
p = E / c

And that is the momentum of the photon (or indeed, any massless particle), which has no mass, but has energy and moves at the vacuum speed of light

Summary

Light has momentum because light has energy, and because light moves at the speed of light

Return to top

Close this pop-up window Go to top

A  Physics  Model The  Simple  Model The  Simple  Universe

Elementary Particle Half-life Questions and modern physics answers of interest

This is a question posted on the public forum Quora asking how can an elementary particle have a half-life

"How can an elementary particle have a half-life?"

"Does that not imply an internal clock, moving parts, complexity, and not elementary?"

And the reply (copyright Viktor T. Toth 2018)

No, there is no internal clock, as evidenced, among other things, by the fact that say, if a neutron (with a half-life of 10 minutes) happens to be still around an hour later, its chance of decaying within the next 10 minutes is still 50%

However, I guess you could say that the wavefunction representing the state of the neutron has a clock of sorts. That is to say, it is a function of space and time

And if it is confined by an experiment (one that observes the neutron) to an eigenstate at one point, and then allowed to evolve freely, ten minutes later it is the wavefunction that gives a 50% probability of finding the neutron as an intact neutron

But until another observation is made (that is to say, until the neutron or its decay products again interact with a classical instrument, a cat, a human, whatever, which confine the particle into an eigenstate again) the wavefunction will describe the system as a linear superposition of the intact state and the decayed state

Summary

Elementary particles have no internal structure or moving parts, unstable elementary particles have a half-life because elementary particles are wavefunctions of space and time

Return to top

Close this pop-up window Go to top

A  Physics  Model The  Simple  Model The  Simple  Universe

Tachyons Do They Exist Questions and modern physics answers of interest

This is a question posted on the public forum Quora asking if there are particles that move faster than light

"If tachyons do exist, does that mean Einstein was wrong about the nature of spacetime?"

And the reply (copyright Viktor T. Toth 2018)

The basic principle of special relativity is the existence of an invariant speed, which happens to be the vacuum speed of light

There are several consequences of this principle; among them, the fact that material objects with nonzero rest mass cannot be accelerated to, or beyond the vacuum speed of light, and that things with no rest mass always travel at the vacuum speed of light

What does not follow from this principle is that there cannot be faster-than-light elementary particles (tachyons). However, their existence is not without consequences

The first consequence, within the confines of classical physics, is that tachyons allow faster-than-light signaling

What is a faster-than-light signal in one observer's reference frame, however, is backwards-in-time signaling in some other observers' reference frames

A suitable arrangement of tachyonic transmitters can, therefore, be used to send signals into the past, violating causality

But this is not true for particles moving at or near the speed of light

The second consequence is perhaps even more devastating

A tachyon's rest mass is imaginary; its rest mass squared is a negative number

In the context of particle physics, quantum field theory, this means that a tachyonic field is manifestly unstable: field excitations can be created in empty space without investing any energy, rather, energy is extracted from empty space. Thus, the vacuum decays

So instead of faster-than-light signals or time machines, we end up with no stable vacuum at all

Something similar happened with the Higgs field in the very early universe, before symmetry breaking

The Higgs field is a tachyonic field with an imaginary rest mass

However, it also has a quartic self-interaction term, which puts a limit to the vacuum decay

So instead of indefinite decay, the vacuum decayed merely until it reached the Higgs field's lowest energy state

The tachyonic excitations of the Higgs field became the vacuum expectation value (v.e.v.) of the field in this new vacuum instead

Interaction with this v.e.v. is what endows many particles with their masses

Meanwhile, with respect to this new vacuum, one degree of freedom of the Higgs field remained, this time with a substantial real mass: this is the famous Higgs boson, weighing more than 130 protons

All of the above is fully consistent with special relativity, which is a cornerstone of modern physics, including speculative (or not so speculative, as in the case of the Higgs) theories with tachyonic behavior

Summary

In modern physics, a faster-than-light elementary particle (tachyon), has consequences, such as imaginary mass


As a note, in this physics model, the strand shaped elementary particle moves faster than light

In this physics model, there is nothing special about faster than light travel, for that is how the strand shaped elementary particle moves, and as a consequence for example, in the model the surface of the electron has a constant movement that is faster than the speed of light

Also, this physics model has no concept of imaginary mass

Return to top

Close this pop-up window Go to top

A  Physics  Model The  Simple  Model The  Simple  Universe

Publish A Theory Questions and modern physics answers of interest

This is a question posted on the public forum Quora asking how to publish a theory

"I have developed a new theory of spacetime, which is also a theory of quantum gravity"

"How can I best make this theory known to the cosmological community?"

And the reply (copyright Valdis Klētnieks 2020)

Step 0: Check your math

Make sure it matches all already known results

Do the calculation for the anomalous precession of Mercury's orbit. Make sure it matches the Schwarzchild and Kerr solutions for a black hole. Make sure it predicts that a GPS satellite's clock loses 7,214 nanoseconds a day due to special relativity, but gains 45,850 nanoseconds due to gravity well considerations

If it doesn't do these things, nobody is going to take you seriously

If you've got a whole bunch of words on a page, but you haven't solidified your ideas into math, nobody is going to take you seriously

So... have you done these things? Bravo. Show us the math, or at least enough to convince us you did it

If you haven't done these things, you'll probably want to get a copy of Thorne, Misner, and Wheeler's "Gravitation"

Summary

Amongst other things, scientific method validates a physics theory, by comparing what is calculated using the mathematics of the theory, to what is experimentally observed

In general, theories in physics have a mathematical form, such as for example, gravity has the general theory of relativity


As a note, the mathematical form of this physics model, is a physics engine that processes the behaviour of a three dimensional strand shaped particle, that moves continuously at a single constant speed, against a static universal reference frame, in three dimensional space


As a note, in this physics model, the shape of a particle is important

Return to top

Close this pop-up window Go to top

A  Physics  Model The  Simple  Model The  Simple  Universe

Why Is The Proton Stable Questions and modern physics answers of interest

This is a question posted on the public forum Quora asking why is the proton stable

"Why is the proton very stable?"

"What quantum mechanics principles / phenomena allows it to not decay?"

And the reply (copyright Jerzy Michał Pawlak 2018)

So, now as several people told you (correctly) that there is no fundamental reason, no fundamental symmetry responsible for the proton stability in the Standard Model, let me tell you why it nevertheless is stable (again, within the Standard Model)

Fact is that proton is the lightest three quark state

Quantum chromodynamics explains why you can't remove a quark from a proton, so the only way you could decay it, is changing one or more of its quarks into something else

Just replacing a quark with another one won't work, because we know proton is the lightest 3-quark state and we can only increase mass if we try to swap a quark in a proton for some other quark

So, approaching the problem with standard perturbation techniques of quantum field theory, we need a fundamental interaction that would change a quark into something else; we need a vertex of the following type:

magnified mirror surface



A quark emits or absorbs a boson and changes into some fermion (but not into another quark)

Angular momentum conservation tells us that it must be a fermion, but in the Standard Model we don't have a terribly large choice of fermions; there are just two types of them: leptons and quarks

So 'f' in this picture can be an antilepton or an antiquark

Let's assume first that 'f' is a lepton, or an antilepton: what can we say about the boson B?

Well, the electric charge of a quark is either +2/3 or −1/3

Leptons have charge of either 0 (neutrinos) or −1, charged antileptons have charge +1

As electric charge must be strictly conserved in every process, this means that 'B' must have fractional charge: it may be either of 1/3, 2/3, 4/3 or even 5/3, depending which exactly types of quarks and leptons are involved, it can be positive or negative - does not matter, it must be fractional

So, let's see what happens if 'f' is an antiquark

An antiquark's electric charge is either +1/3 or −2/3

Looking at all possible combinations you again conclude, that 'B' must have fractional charge: either 1/3, 2/3 or 4/3 would work, but none other

So we have found out that to decay a proton we would need a fractionally charged boson

And this is what makes the proton stable in the Standard Model: the theory contains no fractionally charged bosons

Most of its bosons are electrically neutral, and the only charged ones (the W's) have integer charge of ±1

Some extensions of the Standard Model (like the so-called Grand Unified Theories, in fashion 30 years ago) do contain fractional charge bosons, and therefore allow protons to decay

But the theory as we know and have tested, simply does not contain particles necessary to make the proton unstable

OK, there is a loophole: I said above that we need such vertex, and thus fractionally charged bosons, if we want to use perturbative techniques

But not all solutions can be obtained in this way

In fact the Standard Model has solutions that break the baryon number conservation, known under names like instantons or sphalerons

However, as it turns out, such processes require tunnelling through or crossing a very high potential barrier, and change the baryon number by 3, so a free proton can't decay via those states

So those processes don't introduce proton instability either (they do allow protons and neutrons in nuclei together to decay, but because the exponential tunnelling barrier, at a rate of about 10-180seconds-1, so most probably it hasn't yet happened once anywhere in the observable universe)

Of course we know, that the Standard Model is probably not the final theory, and various candidates for more general theory do make protons unstable

But experimentally, we have never seen a free proton decay

This fact is a strong tool for vetting candidates for more general theory: if it allows protons to decay, it must make sure that it is a very slow process

Summary

A proton cannot decay because there are no fractionally electric charged bosons

Return to top

Close this pop-up window Go to top

A  Physics  Model The  Simple  Model The  Simple  Universe

Bohr Model Of The Atom Questions and modern physics answers on classical physics

This is a question posted on the public forum Quora asking about the Bohr model of the atom

"How do you visualise the Bohr model?"

"And why is the theory not consistent?"

And the reply (copyright James Stewart 2022)

The original Bohr model envisioned an atom as a little solar system with the nucleus as the Sun, and the electrons as planets whizzing around in elliptical orbits

The first problem is that seen from the side, the electrons are moving back and forth from right to left. This is called oscillation

We know from radio wave generation, that if you oscillate electrons they give off energy as photons. If electrons did this in an atom, every atom in the universe would collapse its electrons into the nucleus in about 1/100 of a second

This is not what is observed, so the Bohr model must be wrong

Summary

The stability of the atom cannot be explained using the Bohr model of the atom

Return to top

Close this pop-up window Go to top

A  Physics  Model The  Simple  Model The  Simple  Universe

Classical Physics Insufficient Reply 1 Questions and modern physics answers on classical physics

This is a question posted on the public forum Quora asking why is classical physics insufficient

"Why is classical physics not sufficient to explain quantum mechanics?"

And the reply (copyright Patrick Hochstenbach 2015)

Quantum mechanics was required for the simple fact that what we know about matter can't be explained using classical models

Your body is composed of atoms. From experiment it is known that atoms are composed of electrons and one or more protons and neutrons in the nucleus

Based on classical electromagnetic interactions this system isn't stable

Electrons would radiate and fall into the nucleus. One can calculate that the typical lifetime of an atom would be in the range of 10-11 seconds

An atomic nucleus would disintegrate much faster if there is more than one proton available due to electric repulsion

In a classical world, matter as we know it now can't exist. You would disintegrate immediately due to classical forces

It took science about 50 years, from the first observation of X-rays and radioactivity in the 1880's to the discovery of the neutron in 1932 to create an accurate model of matter

To do this, bold steps had to be taken replacing classical mechanics with quantum mechanics

Summary

The stability of the atom cannot be explained using classical physics

Return to top

Close this pop-up window Go to top

A  Physics  Model The  Simple  Model The  Simple  Universe

Classical Physics Insufficient Reply 2 Questions and modern physics answers on classical physics

This is a question posted on the public forum Quora asking why is classical physics insufficient

"Why is classical physics not sufficient to explain quantum mechanics?"

And the reply (copyright Daniel Merthe 2015)

In 1922, two German physicists named Otto Stern and Walther Gerlach sent a beam of silver atoms through a very strong inhomogeneous transverse magnetic field

As the silver atoms passed through the magnetic field, they got seperated into two parts

One part is composed of atoms with their magnetic dipole moments oriented along the magnetic field lines and the other part is composed of atoms having their magnetic moments oriented in the opposite direction

The force felt by a magnetic dipole is dependent on the alignment of the dipole to the field. If it is aligned with the field then it gets deflected one way. If aligned against the field then it gets deflected the other way

So, the beam of silver atoms got separated into these two categories

Makes sense, right?

Wrong. If you think about it some more, you realize this result does not make sense in a world described by classical physics

The silver atoms were not prepared in a way so as to align the magnetic moments either against or with the field

They should have been randomly oriented

A few should have been totally aligned with the field, resulting in a large deflection from the beam. Some others would have been only somewhat aligned, resulting in less deflection. Most would have no alignment at all

A random assortment of dipole moments would lead to random deflections, producing an overall smearing of the beam

However, we actually see a clean separation of the beam into two components

Apparently, the magnetic moment of a silver atom can only be (found) in one of two states, one with the dipole moment pointing "up" and the other with the dipole moment pointing "down"

There is no way that classical physics can explain this phenomenon

Only when we make the transition to quantum mechanics, can we explain this as each particle being in a state described by a state vector (i.e. wave function)

The state of the magnetic dipole moment, or spin, of the silver atom is described by a two-component state vector with the "up" state corresponding to one component and the "down" state corresponding to the other

When you make the measurement, you will only find the atom in one of these two states. If you want to know more about this experiment, see Stern-Gerlach experiment

There are of course other ways in which classical mechanics fails, but this was one of the big ones

Summary

The magnetic moment of a silver atom cannot be explained using classical physics

Return to top

Close this pop-up window Go to top

A  Physics  Model The  Simple  Model The  Simple  Universe

What Is Electric Charge Reply 1 Questions and modern physics answers on electric charge

This is a question posted on the public forum Quora asking what is electric charge

"What is electric charge?"

"What is it's physical meaning?"

"And why only mass particle have electric charge?"

"Electron and proton have different mass, yet they have similar value of electric charge?"

And the reply (copyright Eric Pepke 2013)

Nobody knows

Particles interact through gauge bosons, which carry what is called force (except that gravity is described by GR as the absence of a force but should really be the same kind of thing)

There are four layers of this interaction:- gravity, electromagnetic, weak, and strong, and they have different complexities

If a graviton is discovered, we wouldn't have to talk about charge, because everything attracts everything else (unless it repels, but that would require a bit of cosmology)

Attraction and repulsion is a bit more complex, so we say that particles come in different varieties, and we call the difference "charge." (For the strong force, it's more complex, and we sometimes talk about color charge.)

But what it really is, nobody knows

It's related to another difference between the gague bosons. For photons, we call it spin, unless we call it polarization (which is just more photons with the same spin). That's associated with the information about charge that they carry

To make matters worse, charged particles also have spin, and that spin makes a magnetic field, just like when they go in a circle. Spin is quantized angular momentum, but still, as a physicist once put it, the damn things don't rotate

Still, at a fundamental level, nobody knows what any of this stuff really is

The string theorists have some cute ideas, but nobody has figured out how to test them

Summary

We don't know what electric charge is

Return to top

Close this pop-up window Go to top

A  Physics  Model The  Simple  Model The  Simple  Universe

What Is Electric Charge Reply 2 Questions and modern physics answers on electric charge

This is a question posted on the public forum Quora asking what is electric charge

"If we say a proton has a positive charge, or an electron has a negative charge"

"What exactly do they have?"

And the reply (copyright Shibaji Banerjee 2020)

These are merely conventions

All it means is that there are two types of electric charges

That there are two (and not three or one) types of charges are an empirical consequence of observing interactions between the three types of charged particles (pith balls at the time of Charles-Augustin de Coulomb)

Gravitation, knows of only one type of charge, the mass of a particle, while QCD, the theory of Strong Interactions knows of three which are identified wth the name of the three primary colors

No observable particles can have a net color charge. They can have either of the electrical charge, or both, or none at all, but no particles in the universe can hide their mass!

Summary

We don't know what electric charge is

Return to top

Close this pop-up window Go to top

A  Physics  Model The  Simple  Model The  Simple  Universe

Electron In An Atom Reply 1 Questions and modern physics answers on electrons

This is a question posted on the public forum Quora asking about the movement of an electron in an atomic orbital

"How does an electron move in the orbital?"

"Are they revolving or rotating?"

And the reply (copyright Dave Janney 2022)

Neither, forget about the pictures you saw of electrons orbiting a nucleus, like a planetary system, at school

The electron is a probability cloud

Summary

The electron in an atom is a probability cloud

Return to top

Close this pop-up window Go to top

A  Physics  Model The  Simple  Model The  Simple  Universe

Electron In An Atom Reply 1 Questions and modern physics answers on electrons

This is a question posted on the public forum Quora asking about the movement of an electron in an atomic orbital

"How does an electron move in the orbital?"

"Are they revolving or rotating?"

And the reply (copyright Steve Ruis 2022)

Actually we have no idea. Even the concept of electron "spin" is fallacious

When it was discovered that electrons have a weak magnetic field along with their strong electric field, the only way classically that physicists could account for this was if the electrons were hard little particles that were spinning on an axis. The concept is false but the label stuck

Because of the uncertainty principle we had to choose between energy and location of atomic electrons for precise measurement. Since their energies seems to be more closely linked to their behavior we chose to identify the electrons by their carefully measured energies

But having a small uncertainty in their measured energies meant that we had a large, very large, uncertainty in their positions. So, we have almost no idea of where they are or what they are doing

We cannot even distinguish if they are best described as a particle, a wave, or a wavicle while in their atoms

Summary

It is not clear how an electron should be described when it is in an atom

Return to top

Close this pop-up window Go to top

A  Physics  Model The  Simple  Model The  Simple  Universe

Electron Not Sucked Into Nucleus Questions and modern physics answers on electrons

This is a question posted on the public forum Quora asking about the electron and the atomic nucleus

"Why doesn't the single electron of hydrogen get sucked into the nucleus?"

And the reply (copyright Yousuf Khan 2020)

Because likely the image of the electron you have in your mind is wrong. You are likely thinking of the Bohr model of the atom

But that's the wrong model

The right model is a probability cloud model of the electron

It shows everywhere where the electron could be, including inside the nucleus of the atom. It doesn't get sucked into the nucleus, because it's already inside the nucleus

BTW, when you look at a picture of the electron cloud, don't mistake it to mean that the electron is somewhere within that region from time to time. The electron is everywhere within the region all the time

The cloud is the picture of what the electron looks like in this configuration. The electron is not a particle, it is a cloud

The old Bohr model of atom showing the electron as a planet orbiting a star is completely wrong, it's just used as a cartoon depiction of an atom only used on signs to show where radioactive dangers might lie

Summary

The electron in an atom is a probability cloud

Return to top

Close this pop-up window Go to top

A  Physics  Model The  Simple  Model The  Simple  Universe

Electron Does Not Crash Into Nucleus Questions and modern physics answers on electrons

This is a question posted on the public forum Quora asking about the electron and the atomic nucleus

"Why do electrons in an atom keep a distance from the protons if opposite charges attract?"

"Why don't electrons crash into the nucleus?"

And the reply (copyright Adam Nieman 2021)

This is an excellent question - it is exactly what Ernest Rutherford wondered in 1911 when his team discovered that atoms had tiny positive nuclei (read how they discovered that here:- Rutherford scattering - Wikipedia)

Yes - their first thought was that the motion of the electrons prevented them flying into the nucleus. They imagined the electrons would orbit the nucleus like little planets around a star, but they soon realised this couldn't be the whole story

The problem is that, according to electrodynamics, if you change the direction of a charged particle this generates an electromagnetic wave, which would take energy away from the particle

An electron moving in a circle should be continually radiating electromagnetic waves, which means it would lose speed and get closer to the nucleus until, eventually, it would crash into it

Doing the calculations revealed that atoms should collapse in a fraction of a second

So what's going on?

Neils Bohr suggested an alternative planetary model in which electrons stay in fixed orbits around the nucleus

While they are in one of these orbits they do not radiate electromagnetic waves

They can jump from a low orbit to a high orbit if they absorb just enough energy - the difference in energy between the two orbits. They can jump from a high orbit to a low orbit by emitting a precise amount of electromagnetic energy - the difference between the two orbits

Note that Bohr did not have a good explanation for why electrons behave like this, but it was easy to show that it was a good approximation for what was going on

Physicists had known for a long time that atoms absorb and emit electromagnetic radiation at fixed wavelengths. Each element has its own characteristic 'spectrum' - colours of light specific to that kind of atom - but no one knew why (light is a form of electromagnetic radiation)

Bohr's model of the atom hinted at an explanation for spectra

It took many years to get a more complete theory of electrons in atoms

The theory is called quantum mechanics, and is both the most successful and most confounding theory physics has ever come up with

With quantum mechanics you can calculate where you would expect to find electrons in atoms

It turns out that it is not neat circular orbits but more complex 3 dimensional shapes, which were given the name 'orbitals' because they are conceptually similar to orbits. Electrons can jump from one orbital to another by absorbing or emitting a precise amount of energy - the difference in energy between the two orbitals

Summary

Electrons exist in orbitals around the nucleus of an atom

Electrons can get from one orbital to another, but not inbetween orbitals

Return to top

Close this pop-up window Go to top

A  Physics  Model The  Simple  Model The  Simple  Universe

Electron Rotate 720 Degrees Questions and modern physics answers on electrons

This is a question posted on the public forum Quora asking about rotating an electron

"Fermions, such as electron, are spin 1/2 particles, and they must rotate 720 degrees to restore the original state, they say"

"Obviously it is not possible to rotate an electron and observe"

"How was it determined?"

And the reply (copyright Paul Rakow 2022)

If a spin 1/2 particle is rotated by 360 degrees, its wave function will be multiplied by -1, if it is rotated by 720 degrees it will be multiplied by -1 twice, so it will return to its original state

The challenge is to show that a 360 degree rotation doesn't return a fermion to its original state

Experiments to test this can be done

To over-simplify a little, you start with interference produced by passing spin 1/2 particles through twin slits. and see bands of constructive and destructive interference

Then, on one of the slits you put just the right magnetic field to rotate the particles that go through that slit by 360 degrees, while leaving the other slit alone

That changes the sign of the rotated particles. The interference pattern should shift - all the places where you had bright bands become dark, and dark become light

And if you double the magnetic field, to produce a 720 degree rotation, the pattern shifts back to what you originally had, when both slits were unrotated

Of course, the actual experiment is quite a bit more complicated than the simplified version above

Papers that report on this type of experiment (done with neutrons, not electrons) include

Article Verification of coherent spinor rotation of fermions

Article Observation of 2 Pi Rotations by Fresnel Diffraction of Neutrons

Summary

It is possible to measure the state of a particle's wave function

When a spin 1/2 particle is rotated and the state of its wave function measured, it is found that 720 degrees of rotation are required to return the wave function to its original state

Return to top

Close this pop-up window Go to top

A  Physics  Model The  Simple  Model The  Simple  Universe

Why Are Electrons In Pairs Questions and modern physics answers on electrons

This is a question posted on the public forum Quora asking about paired electrons in an orbital

"When electrons revolve, why are they in pairs?"

And the reply (copyright Art Hobson 2022)

The Pauli Principle says that every electron within an atom must have a different set of quantum numbers

There are four such numbers, three of them describing the orbital characteristics of the electrons and one describing the spin

Spin is always one of the two quantum numbers +1/2 or -1/2

Thus the electrons in an atom tend to fall into pairs, where the two electrons within each pair have identical orbital characteristics but differ only in their inherent spin

The spatial wave functions of these two electrons look identical

Summary

As a principle, an electron in an atom is required to be in some way different to other electrons in that atom

The same principle applies to protons in an atom

There is no principle for photons to behave like this

Return to top

Close this pop-up window Go to top

A  Physics  Model The  Simple  Model The  Simple  Universe

Why Do Electrons Follow The Eexclusion Principle Questions and modern physics answers on electrons

This is a question posted on the public forum Quora asking why electrons follow the Pauli exclusion principle but photons don't

"Why do electrons follow the exclusion principle but photons don't?"

And the reply (copyright Kupferman Judy 2022)

Electrons are fermions. Photons are bosons. They're essentially different kinds of things

Fermions follow the exclusion principle

As to why, it's like asking why electrons have charge

Electrons have a few things that characterize them:- their charge, their mass, the fact that they have half integer spin (that is what makes them fermions)

But as to asking why they have these - they just do. Otherwise they wouldn't be electrons

You can describe the difference between fermions and bosons with the spin-statistics theorem, which I myself find hard to understand

Summary

As a principle, an electron in an atom is required to be in some way different to other electrons in that atom

The same principle applies to protons in an atom

There is no principle for photons to behave like this

Return to top

Close this pop-up window Go to top

A  Physics  Model The  Simple  Model The  Simple  Universe

Is An Electron A Fundamental Particle Questions and modern physics answers on electrons

This is a question posted on the public forum Quora asking if the electron is a fundamental particle

"Are electrons still considered fundamental particles?"

And the reply (copyright Viktor T. Toth 2016)

How did Rutherford discover that atoms have structure, in the form of a small, compact nucleus surrounded by mostly empty space? By firing particles at them

If atoms (as it was thought back then) were sort of fuzzy objects, the particles would have been deflected by them slightly, but that's all

Instead, Rutherford found that most particles passed through these atoms almost unaffected, but some bounced right back at the direction from which they came

It was quite a surprise, compared to what it would be like, if a rifle bullet bounced back from a sheet of tissue paper

But it made sense once the model was revised: the compact atomic nucleus was hard to hit, but when it was hit, it indeed bounced particles back from where they came

So what does an atomic nucleus look like? Is it a fuzzy ball of sorts, or does it have internal structure?

The same kind of experiment can be repeated but at higher energies. This is how we learned, by studying how nuclei bounce back incoming particles, that atomic nuclei themselves consist of much smaller particles (protons and neutrons) and, between them, lots of empty space

So what do protons and neutrons look like? Once again, we can do this experiment at still higher energies, and eventually find that they have internal structure

That rather than being fuzzy balls, they, too, consist of smaller particles with more or less empty space between them

But when we do this kind of experiment with the electron, we find no internal structure

In fact, the higher the energies at which we probe the electron, the smaller the electron appears (that is, the better it is localized to a point), but no internal structure becomes evident

So as far as we know, the electron is a point particle that is not composed of other particles and has no structure

This knowledge, gained from experiment, is reflected in the Standard Model of particle physics, in which there are several "fundamental" quantum fields

Each of the known particle types is represented by a field; individual particles are excitations of these fields. One of the fundamental fields is the electron field

If, in the future, still higher energy experiments reveal that the electron has internal structure after all, the model would obviously have to be revised

But for now, the model reflects our experimental knowledge that the electron is a fundamental particle

Summary

The electron does not have a structure

Return to top

Close this pop-up window Go to top

A  Physics  Model The  Simple  Model The  Simple  Universe

What Does Half Spin Mean Questions and modern physics answers on electrons

This is a question posted on the public forum Quora asking what does it mean to say that a particle has spin a half

"Why is the spin of an electron equal to half?"

"What does it mean by half?"

And the reply (copyright Damian Sowinski 2024)

Since neutrinos also have spin-½, let's change this slightly to "Why do particles with spin-½ exist?"

This, then, is an incredibly deep question, with a rather surprising answer: because spacetime is locally Minkowski!

That's it, simple, right? You have an answer, and you can stop there. No seriously, go do something else

Still here?

Ok, fine, I'll explain what that means, too. Fair warning, though, deep questions have deep answers, and we're going swimming in an ocean of mathematical physics. I'll outline the steps in the argument, but it's your job to fill them in

1. Minkowski spacetime is flat and admits several symmetries. These symmetries are generated by the Poincaré group. A very important subgroup of it is the full Lorentz group, SO(3,1)

2. The full Lorentz group has two components. If we focus only on rotations and boosts, these form the subgroup SO(3,1)+, which we call simply the Lorentz group. The other piece has space and time inversion which we do not need

3. Since spacetime is 3+1 dimensional, the Lorentz group is generated by the Lorentz algebra, which consists of 3 rotations and 3 boosts, and mix together

These 6 generators can be combined linearly to into two sets of 3 generators, which do not mix. Each of these sets forms an SU(2) algebra. This is why SU(2) is sometimes called the double cover of SO(3,1)+

4. Any description of a particle in spacetime MUST transform according to a particular representation of SO(3,1). Any representation can be uniquely broken into irreducible representations; they're like the prime numbers of representations

If we know all the irreducible representations of the Lorentz group, then we know all possible descriptions of particles that can occupy spacetime

5. SU(2) has an infinite number of irreducible representations, each one labeled by a non-negative integer, p, called the weight. Using raising and lowering operators, we can build the ladder of states which have eigenvalues (under the third operator) of p,p-2,p-4,..., -p

This means that when p is even, the representation is 2p dimensional, and when p is odd it is 2p+1 dimensional

Physicists like to change notation here, using s=p/2, so that the representations are now labelled by integers and half integers, and in either case the dimension of the representation is 2s+1

We call s 'spin'. When s is an integer, the representation contains all smaller s's representations in it, so it is faithful. When s is a half-integer, it is unfaithful

6. Every representation of the Lorentz group is labelled by two non-negative integers, (s,s'). This means that every particle description falls into one of these representations

Does Nature use ALL these representations? No

The Higgs is a scalar particle, so it is described by the (0,0) representation. Electrons by (½,0) and anti-electrons (0, ½), and so on. Most representations, like (100,3/2), have not been needed to describe any known particles

So yeah, that's why spin exists. I warned you this wasn't going to be short

Summary

The electron has spin a half because spacetime is locally Minkowski

Return to top

Close this pop-up window Go to top

A  Physics  Model The  Simple  Model The  Simple  Universe

What Is Gravity Questions and modern physics answers on gravity

This is a question posted on the public forum Quora asking what is gravity

"What exactly is gravity?"

"And how does it work?"

And the reply (copyright Edward Measure 2022)

So far as we know, it is a result of the warping of spacetime by mass and energy

It may be carried by a particle called a graviton, but we have never detected such a particle, probably because they are very weak

We know a lot about how it works, but it would be an exaggeration to say we understand it deeply

Newton came up with our original theory of gravity but confessed that he did not know how it worked. ("Hypotheses non fingo")

We now know more, but there are still many mysteries

Summary

We don't know how gravity works

Return to top

Close this pop-up window Go to top

A  Physics  Model The  Simple  Model The  Simple  Universe

Why Is Gravity Difficult To Figure Out Questions and modern physics answers on gravity

This is a question posted on the public forum Quora asking why is gravity difficult to figure out

"Is there any particular reason gravity has been so difficult to figure out (no associated particle, very weak, etc)?"

And the reply (copyright Viktor T. Toth 2022)

Gravity has been figured out at the classical level, first by Newton and eventually, by Einstein

What has proven to be an unexpected challenge is reconciling gravity with quantum physics in a manner that is theoretically satisfying

I am choosing my words carefully because if all we care about are experimental results, there's an answer:- it is called semiclassical gravity (essentially combining Einstein's gravity with the so-called expectation value of matter from the quantum theory of fields)

In all regimes accessible to us, semiclassical gravity provides answers that agree with experiment

But semiclassical gravity feels like an ugly kludge, and we want something better

The big deal with quantum field theory is renormalization

The problem?

The naive version of the theory predicts that all fields have infinite "vacuum energy". Predictions of infinities in physics are considered nonsensical. However, when we look at quantities we observe, we can perform a simple trick. Instead of infinity, we use a large but finite value. With the help of that value, we compute the observable

As the final step, we take the mathematical limit to infinity, and find that if we did things right, the prediction for observable quantities remains finite and unchanged

Presto, the theory is renormalizable

For technical reasons, this approach does not work for gravity

Something new is needed

But precisely because semiclassical gravity works so well, we get no hints from Nature as to what new ideas or concepts might help. So we're stuck

Theoretical proposals ( superstring theory, loop quantum gravity, emergent gravity, etc.) have been around for decades, but no proposal appears fully convincing, and certainly none of them offer any experimentally verifiable predictions

Summary

We do not know how to incorporate gravity into quantum mechanics

Return to top

Close this pop-up window Go to top

A  Physics  Model The  Simple  Model The  Simple  Universe

How Do We Know That A Graviton Has Spin 2 Questions and modern physics answers on gravity

This is a question posted on the public forum Quora asking why the proposed graviton particle has a spin of 2

"How do we know that a graviton (if it exists) has spin 2?"

And the reply (copyright Gaston Nusimovich 2018)

In Quantum Field Theories, particles are grouped into two kinds or categories: bosons and fermions

Bosons also come in two kinds

Scalar bosons

Vector bosons

Fermions are what we could call "matter" particles, while vector bosons could be called force-carrying particles, as all fundamental forces in nature are the result of the exchange of some kind of vector boson

All bosons (scalar and vector bosons) are bosons just because the value of their spin is an integer number; vector bosons have a value of spin that is an integer number that is different from zero

An example of a scalar boson is the Higgs boson, and the value of its spin is zero (an integer number)

Fermions have fractional (non integer) values for their spin

Examples of vector boson are the photon and the graviton. Since they are bosons, the value of the spin must be an integer number, and since they are vector boson (force carrying particles), the value of spin has to be different from zero

For a vector boson, the value of spin could not be any integer value different from zero, the value of spin is also related to a specific characteristic of the force that said vector boson carries: whether or not the force associated with the boson is only attractive, only repulsive, or could be either attractive or repulsive

Like for instance, the electro-magnetic force could be either attractive or repulsive, and this is something that we can experience with very simple experiments with electrostatic charges and with magnets

As the electromagnetic force is carried by photons, and said force can be either attractive or repulsive, the value of spin for photons has to be 1, the smallest positive integer that is an odd number

The gravitational force is only attractive, and because of this characteristic, for gravitons (the vector bosons that carry the gravitational force), the value of spin has to be 2, the smallest positive integer that is an even number

The fact that the force could be only attractive, or only repulsive, or either attractive or repulsive is related to certain kinds of symmetries, and said symmetries are related to the fact that the value of spin for the force carrying boson is an even integer number or an odd integer number

This is as far as all this could be explained with simple ideas without getting into some more complex math to offer a more complete (but also more complex) answer

Kind regards, GEN

Summary

The explanation of spin is complicated

Return to top

Close this pop-up window Go to top

A  Physics  Model The  Simple  Model The  Simple  Universe

Why Is There Gravity Questions and modern physics answers on gravity

This is a question posted on the public forum Quora asking why is there gravity

"Why is there gravity?"

"Where does gravity come from?"

And the reply (copyright Steve Baker 2022)

We know that gravity is caused by mass

• One way to consider that, is that anything that has mass produces a (possibly tiny) gravitational field

Einstein would point to General Relativity and say that a mass distorts space/time around it, and the phenomenon of gravity is just the consequence of this distortion

But both versions of the story have the exact same ending

WHY does mass create gravity?

We don't know why - we now believe that the phenomenon of "mass" is something to do with the "Higgs field" and it's force carrier, the "Higgs Boson"

But honestly - we don't know why

Summary

We don't know why mass creates gravity

Return to top

Close this pop-up window Go to top

A  Physics  Model The  Simple  Model The  Simple  Universe

Why Does Matter Have Mass Reply 1 Questions and modern physics answers on mass

This is a question posted on the public forum Quora asking to explain why matter has mass

"Why can't science explain the nature of things, like matter has mass, etc?"

And the reply (copyright Rich Hochstim 2022)

Science can explain the way things work, how they come about, and how they are composed, but it typically does not do so at once

Usually there are many steps involved, and usually this process is incomplete

Mass initially is equated with a mysterious force that Newton admits he does not really understand. Then mass gets equated with the curvature of spacetime and also with energy, The Higgs boson comes next. Each is a step closer to the nature of mass

This is the nature of science

Summary

Each step that science takes when investigating mass, is a step closer to science knowing the nature of mass

Return to top

Close this pop-up window Go to top

A  Physics  Model The  Simple  Model The  Simple  Universe

Why Does Matter Have Mass Reply 2 Questions and modern physics answers on mass

This is a question posted on the public forum Quora asking to explain why matter has mass

"Why can't science explain the nature of things, like matter has mass, etc?"

And the reply (copyright Art Hobson 2022)

Well, physics actually can explain why matter has mass (defined as "resting inertia")

Matter has mass because of the existence of the universal Higgs field

But of course we don't know why the Higgs field exists. And we don't know why the elementary "particles" (they are not particles and should be called "quanta") have the masses they do have

Summary

Physics can explain why matter has mass

Matter has mass because of the Higgs field

Return to top

Close this pop-up window Go to top

A  Physics  Model The  Simple  Model The  Simple  Universe

Could Mass Be Removed From Matter Questions and modern physics answers on mass

This is a question posted on the public forum Quora asking if it is theoretically possible to remove mass from matter

"Is it theoretically possible to remove mass from matter?"

And the reply (copyright Viktor T. Toth 2016)

First of all... 99% of the mass of ordinary matter (stuff that you hold in your hands; actually, the mass of your own hands) is not, I repeat (emphatically) NOT due to the Higgs boson

The rest masses of constituent quarks in protons and neutrons amounts to only about 1%; the remaining 99% is due to the binding energy between them

Second... the masses of electrons, which are light particles, are due to the Higgs boson

The masses of neutrinos, which are also light particles, are not (as far as we know)

Quark rest masses are also due to the Higgs boson

So are the rest masses of the W and Z vector bosons, but the mechanism is completely different

Third... "light is both a wave and a particle", to the extent that it is true (it is a gross oversimplification) it applies equally to all elementary particles. Electrons are both waves and particles. Quarks are both waves and particles. And so on

That being said... if you could turn the Higgs field off, for instance, the result would be very interesting

Quarks and leptons would become massless

However, protons and neutrons would retain 99% of their mass

Electromagnetic and the weak interaction would become indistinguishable, and the W and the Z bosons would also become massless

However, neutrinos would retain their tiny rest masses

Fortunately, you cannot turn off the Higgs field

A good thing, too, as it would completely change atomic physics; stable isotopes would become unstable and vice versa, chemistry (if it still existed) would be completely different, and so on

All in all, a bad day for anyone in the neighborhood

As to the 99% of proton and neutron rest masses... for that, you'd have to turn off the strong interaction. And if you did that, there'd be no more protons and neutrons. So no atoms either

Forget the periodic table, not even hydrogen would exist. Just a quark "plasma"

Now that would be a really bad day for anyone in the neighborhood

Summary

Matter has mass because of the Higgs field

Mass cannot be removed from matter because the Higgs field cannot be turned off

Return to top

Close this pop-up window Go to top

A  Physics  Model The  Simple  Model The  Simple  Universe

Mass And The Higgs Field Questions and modern physics answers on mass

This is a question posted on the public forum Quora asking about mass and the Higgs field

"Are all (elementary) particles continuously interacting with the Higgs field to have mass?"

"Or just one time and then they keep their mass?"

And the reply (copyright Viktor T. Toth 2016)

This question is a perfect example why it is very difficult to provide a "popular" explanation of a complicated physical theory

No, elementary particles that acquire their masses by interacting with the Higgs field do not interact with it once, nor do they interact with it continuously. At least that's not how I would describe what happens

The actual picture is more subtle, and symmetry breaking plays an essential role

Take the electron

Without symmetry breaking, it would be massless, and it would be interacting with the pre-symmetry-breaking form of the Higgs field (the so-called Higgs doublet)

Obviously, this interaction would only do anything when excitations of the Higgs field are, in fact, present; in the vacuum, the electron would be moving unimpeded, as a massless particle

But the Higgs field is a very special animal

For all other fields, the field is in its lowest energy state when it has zero excitations (no particles present)

Not so with the Higgs

As a result, the Higgs field has a so-called vacuum expectation value

(To make sense of this sentence, it is really important to keep in mind that we are talking about a field theory here; particles are abstractions, quantized excitations of these fields, the real, fundamental physical object is the field itself)

Symmetry breaking means settling down to the lowest energy state

What used to be excitations of the Higgs field now define the new vacuum

But in this new vacuum, the electron behaves as if it was interacting with the Higgs field even when no excitations of the Higgs field are present!

Essentially (and very crudely speaking), instead of interacting with Higgs particles, the electron now interacts with the Higgs field vacuum expectation value, which is a constant value; the strength of the interaction serves as the electron's mass

In other words (and still very crudely speaking; particle physicists, please don't beat me up), because the electron has the ability to interact with the Higgs field before symmetry breaking, it behaves as a massive particle after symmetry breaking even when the Higgs field is in its so-called ground state (no Higgs particles present)

The mechanism by which massive vector bosons acquire their masses is different, but also related to symmetry breaking; and neutrinos, not to mention the Higgs itself, have a priori masses not related to symmetry breaking

I understand that this explanation is likely more confusing than helpful. Unfortunately, I don't think it is possible to offer more clarity without going into the math

This is one of those cases in theoretical physics when nontechnical explanations can only go so far

It's only through the relevant math that terms like symmetry breaking or vacuum expectation value acquire real meaning

Summary

The explanation of mass is complicated

Return to top

Close this pop-up window Go to top

A  Physics  Model The  Simple  Model The  Simple  Universe

Does The Higgs Boson Fit The Standard Model Questions and modern physics answers on mass

This is a question posted on the public forum Quora asking about the Higgs boson

"Does the Higgs boson fit the Standard Model completely?"

And the reply (copyright Viktor T. Toth 2020)

Just came across this question and noticed some good, but contradictory answers, so I figured I'd add my own two cents' worth of confusion

So as you might expect, this is going to be a yes-and-no answer

Yes, the Higgs boson fits the Standard Model. Not sure about "completely", but pretty close. It plays an absolutely essential role, in fact, in the Standard Model, by allowing several things to happen

1) It makes it possible for massless gauge bosons (which must be massless in order for the theory to be renormalizable) to obtain masses through spontaneous symmetry breaking

2) It (well, the complex Higgs doublet, that is) provides a means to "eat" the resulting longitudinal degrees of freedom of those now massive vector bosons

3) Through so-called Yukawa couplings, the Higgs boson provides a mechanism for charged fermions to become massive, too

Now if this was all there was to it, we'd have a beautiful theory. Unfortunately, that is not the case. Here are some flies in the proverbial ointment

1) To begin with, the quadratic and quartic potential terms in the Higgs Lagrangian are completely arbitrary, written in "by hand", with no meaningful justification other than "it works"

2) There is nothing natural or unavoidable about the Yukawa couplings either; they are written into the theory "by hand" because, well, they work

3) Those Yukawa couplings add very little by way of predictive power; though they let us start the theory with massless fermions, for each fermion mass there is now a separate coupling constant, so we haven't really predicted anything (certainly not the range of charged fermion masses, the origin of which remains a mystery)

4) Neutrino masses spoil the party. After all the trouble we went through with the Higgs, we end up with a neutrino mass mixing matrix that is just rudely and crudely added "by hand"

This is why it was not a completely crazy expectation that no Higgs boson would be discovered before, well, before it was actually discovered

And this is why it is a bit of a surprise that the discovery, in the end, validated the theory without any unexpected surprises; given the imperfections of the theory, surprises were kind of expected (even hoped for, as they would have contained vital clues about developing the theory beyond the Standard Model)

Summary

Explaining the Higgs boson is complicated

Return to top

Close this pop-up window Go to top

A  Physics  Model The  Simple  Model The  Simple  Universe

Higgs Boson And The Higgs Field Questions and modern physics answers on mass

This is a question posted on the public forum Quora asking about the relationship between the Higgs boson and the Higgs field

"Can you explain the relationship between the Higgs Field and Higgs Boson?"

"How does discovery of Higgs Boson prove the Higgs Field?"

And the reply (copyright Viktor T. Toth 2021)

The Higgs field is a surprisingly complicated beast

Mathematically it is represented by a pair of complex numbers (a so-called complex scalar doublet)

A complex number has two components of course; so a pair of complex numbers has four. Particle physicists will count these as degrees of freedom

The Higgs field interacts with many other fields, including the so-called gauge bosons of the weak interaction

These bosons start their life as massless bosons, just like photons of light. But photons do not interact with the Higgs field; the gauge bosons do

As a result of this interaction they behave as though they had mass (you can think of the potential energy they gain as a result of the interaction as their rest mass-energy)

As these gauge bosons become (very) massive, they are much harder to produce than photons and decay very quickly

Consequently, the weak interaction's range is reduced, greatly reduced. Interactions that would otherwise be as obvious and as long-range as the electromagnetic interaction thus become barely detectable, "weak"

But there are only three gauge bosons. These "eat" three of the four degrees of freedom in the Higgs complex doublet

One degree of freedom remains

The prediction, a fundamental prediction of the Standard Model of particle physics, was that if the Higgs mechanism is a correct, valid description of Nature, this fourth degree of freedom will manifest itself, will be seen, as a scalar boson particle

Its mass could not be predicted from theory, but it was known to be somewhere between a little over 100 GeV and several hundred GeV (1 GeV - i.e. one gigaelectronvolt - is roughly the mass of a proton)

Finding this Higgs boson therefore became top priority for particle physics. Its detection would confirm the Standard Model; failure to detect would indicate that something is very wrong with the model

So when the Higgs boson was finally detected in 2012, this was a major vindication of the theory

Summary

The relationship between the Higgs boson and the Higgs field is complicated

Return to top

Close this pop-up window Go to top

A  Physics  Model The  Simple  Model The  Simple  Universe

What Are Quantum Fields Questions and modern physics answers on quantum fields

This is a question posted on the public forum Quora asking about quantum fields

"What is a field in physics?"

"How many different fields are there in our universe?"

"How did they come into existence?"

And the reply (copyright Alec Cawley 2022)

A field is something for which there is a measurable value at absolutely every point

We do not know how many fields there are

We invoke the concept of a field when we have a need to explain something, and we have, in principle at least, some way of measuring what the field is at any point

We can measure the gravitational, electric and magnetic fields at any point using instruments

But we also hypothesize other fields for which we may have no means, at the moment, to measure. Such as the Higgs field. And, for all we know, there may be others

And how did they come into existence?

We have absolutely no idea

Summary

A field is defined as something that can be measured at every point in space and time

Quantum fields are everywhere in space

Return to top

Close this pop-up window Go to top

A  Physics  Model The  Simple  Model The  Simple  Universe

Zero-point Energy Questions and modern physics answers on quantum fields

This is a question posted on the public forum Quora asking about zero-point energy

"How can you explain zero-point energy to a non-physicist?"

And the reply (copyright Barak Shoshany 2015)

First you need to understand a bit about quantum field theory. See for example:- What is a good explanation to quantum field theory for dummies?

Basically, what we know from quantum field theory is that there are fields which exist everywhere in spacetime, and particles are higher-energy states of these fields

So for example, there's only one electron field which exists everywhere, and every electron is actually an excited state of this one field

Now, when non-physicists think of a vacuum they usually think of "empty space", without any particles. However, the fields are always there, even when they're not excited to a higher-energy state to create a particle

So a vacuum without any particles still has fields, they are simply not excited

When fields are not in an excited energy state, they are in a state of lowest energy. This state is the only state in which there are no particles, and is also known as the ground state

However, this is a state of lowest energy, it's not a state of no energy

There is some amount of energy that the field always has, even when it is in the ground state. This energy is called the vacuum energy or "zero-point energy"

In short:- A vacuum is not really empty; even if there are no particles, there are still fields

The vacuum energy is simply the energy that fields have when they are in the vacuum ("no particle") state

Summary

Zero-point energy comes from the minimum energy of quantum fields

Quantum fields are everywhere

Return to top

Close this pop-up window Go to top

A  Physics  Model The  Simple  Model The  Simple  Universe

Particles Popping Out From Vacuum Questions and modern physics answers on quantum fields

This is a question posted on the public forum Quora asking about quarks and antiquarks popping out from a vacuum

"How do quark and antiquark pairs pop out from a vacuum?"

"How is that allowed?"

And the reply (copyright TJ Berens 2022)

Allowed? :)

You need to understand what a virtual particle is, for this to make sense

It is not a particle that pops into existence ex nihilo

It is analogous to thinking of a particle as a part of a wave

That part is quantized, so, imagine a wave crest of 1' being your particle, but not the wave at 0.9' or 1.1'

As the wave builds, as it passes through that 1' height, the "particle" is present

As it builds past that, the particle is not there anymore

So, as waves roll in at the beach, "particles" pop into and out of existence, but the waves are always there too

For perspective, if we try to have "nothing", a quantum vacuum, it releases photons, electrons and positrons

(Matter, antimatter and energy)

After that, it's a matter of understanding what a photon, in this context, is made of, and, what happens when you break it apart

Summary

A virtual particle is an excitation of a quantum field whose time of existence is limited by the uncertainty principle

Return to top

Close this pop-up window Go to top

A  Physics  Model The  Simple  Model The  Simple  Universe

Is Quantum Field Theory Proven Questions and modern physics answers on quantum fields

This is a question posted on the public forum Quora asking about the proof of quantum field theory

"Is quantum field theory proven?"

And the reply (copyright Sanjay Sood 2021)

Yes, quantum field theory (QFT) has been proven many many times

It is the most accurate theory in all science

It began in 1948 as an attempt to explain the anomalous magnetic dipole moment of the electron in a mathematically consistent way. It succeeded extremely well

Using QFT this physical quantity can now be calculated to 13 significant digits to four Feynman loops and this calculated value exactly matches the experimentally measured value

This QFT is known as quantum electrodynamics

It is a renormalizable U(1) gauge invariant relativistic local quantum field theory and it provides a complete description of an electron and its antiparticle, a photon and their interactions with each other

Most recently QFT has been proved to be correct in the discovery of Higgs boson at the Large Hadron Collider (LHC) in 2012

Higgs boson was first predicted by six theorists using a type of QFT in 1964 as quantized excitation of Higgs field that acquires a non zero expectation value for its quantum ground state at energy about 246 GeV

This QFT is known as electroweak theory

It is a renormalizable SU(2)XU(1) gauge invariant relativistic local quantum field theory

In addition to a complete description of an electron, a photon and their interactions with themselves and each other, it also provides a complete description of the carrier gauge bosons of the weak nuclear force:- W+, W- and Z and their interactions with themselves, with each other and also with all the quarks and leptons

The W and Z bosons were first predicted by Steven Weinberg in 1967 and were detected at CERN in 1983

Summary

Quantum field theory has been proven many times

Quantum field theory is the most accurate scientific theory ever

Return to top

Close this pop-up window Go to top

A  Physics  Model The  Simple  Model The  Simple  Universe

What Is Quantum Field Theory Questions and modern physics answers on quantum fields

This is a question posted on the public forum Quora asking what is quantum field theory

"What is the quantum field theory for someone just starting to learn it?"

And the reply (copyright Viktor T. Toth 2018)

Let me give you my take, sketching it out step by step

1. Quantum mechanics tells you that positions and momenta are not numbers but operator-valued quantities that act on the state of the system represented by the wavefunction

The practical result of this is that these operators may be in number-valued "eigenstates" (when they correspond to classical, measured quantities) but they may also be in states that are combinations of these eigenstates (that is, the particle is "in two places at once")

2. A specific application of quantum mechanics is the case of the harmonic oscillator, which oscillates at a specific frequency. When quantized, its energy can only increase or decrease in set units, or quanta

3. Quantum mechanics is not relativistic. A relativistic form exists, but it can produce solutions that violate causality (the future may influence the past)

4. Quantum mechanics tells you how a particle goes about its business, but not how it is created or annihilated

5. A field in classical physics can be viewed as an infinite set of harmonic oscillators, one for each frequency. A field can then be quantized, one oscillator at a time, resulting in quantum field theory

6. When fields interact, they emit or absorb energy one unit at a time, just like a harmonic oscillator. In fact, these field quanta can behave just like particles

The archetype is the electromagnetic field: in quantum electrodynamics, photons are the excitations of the electromagnetic field

When the electromagnetic field interacts with the field that represents electrons, excitations (photons) are either created or absorbed

Conversely, excitations of the electron field can now be created (in pairs, to satisfy conservation laws) or absorbed (again in pairs) when the electron field interacts with the electromagnetic field

So now field theory gives us a theory of interacting particles, in this case, quantum electrodynamics

7. The icing on the cake; the theory is fully relativistic and free of causality violations

8. The fly in the ointment: the theory is plagued with unwanted infinities. For starters, a quantum harmonic oscillator has a minimum energy; add that minimum energy for an infinite number of such oscillators, and you get a nasty infinity

Other such infinities exist as well, and dealing with them in a manner that does not give instant heart attacks to self-respecting mathematicians, remains one of the main issues of the theory

Summary

Quantum field theory is the quantised harmonic oscillator of a field

A field is a physical quantity that has a value for each point in space and time

Return to top

Close this pop-up window Go to top

A  Physics  Model The  Simple  Model The  Simple  Universe

Wave-particle Duality Questions and modern physics answers on quantum mechanics

This is a question posted on the public forum Quora asking about wave-particle duality

"How is it known that wave-particle duality is real if only particles and not waves can be directly observed?"

"Is knowledge of the wave purely mathematical?"

And the reply (copyright Francois Leyvraz 2022)

Quantum mechanics does not, in fact, use the notion of wave-particle duality

This concept arose in the early stages of the theory, when the mathematical formalism was not yet well developed

In present day quantum mechanics, a system is described by a complex-valued function, which should really be known as the quantum state, but is often called the 'wave function'

But this is simply a misnomer with historical roots

The peculiar feature of quantum mechanics is the following:- as long as a system remains isolated, its evolution can be described through a straightforward equation, known as the Schrodinger equation

On the other hand, it turns out that it is not possible to measure any property of the quantum state without putting into contact with a large system, thereby spoiling the isolation

For measurement, one then uses a different rule, the so-called Born rule

This may seem, and to some extent is, a bit arbitrary, but the arbitrariness does not matter as far as concrete predictions are concerned

Summary

The electron in an atom is a quantum complex-value

Return to top

Close this pop-up window Go to top

A  Physics  Model The  Simple  Model The  Simple  Universe

Is Quantum Mechanics Possibly Wrong Questions and modern physics answers on quantum mechanics

This is a question posted on the public forum Quora asking about the validity of quantum mechanics

"Is it possible that quantum mechanics is false/wrong?"

And the reply (copyright Mark John Fernee 2019)

All we really ask of our theories is whether they are useful or not

Of course we can falsify a theory by comparing the predictions of the theory with experimental observation

Then the question is whether quantum mechanics has been falsified? Yes it has, but then only under certain limiting approximations. Then all approximations fail once you exceed their regime of validity, so there's nothing surprising there

Quantum mechanics provides a level of understanding that underlies our observed reality

If you want to understand the colour of paint pigments you ultimately get down to the level of quantum mechanics

If you're going to design silicon based semiconductor devices, you'd better know your material's electronic structure. This is generated using the quantum theory of solids

Quantum mechanics is so much more than the few seemingly paradoxical concepts that float about in the popular media

Since its initial development, QM has gone on to form the backbone of our modern civilization through enabling a deeper understanding of materials, measurements and other related phenomena

This has been called the first quantum revolution and you can fill a room with texts, treatises, monographs and tomes. This is all happening behind the scenes by those who have studied and worked with QM and subsequently put it to use

Therefore, with respect to the possibility of QM being wrong

Well it's not so wrong as to not be useful

That's the same as we can say for Newton's laws. Engineers make extensive use of Newton's laws, even though we know them to not be the latest in understanding mechanics and motion

The whole idea of being wrong is actually misplaced. Newton's laws are useful within certain limits or approximations, which are generally applicable to our low speed locally flat spacetime

After 100 years of quantum mechanics, the evidence of its efficacy is all around us

Modern electronics would not be possible without the understanding, insights and modelling provided by quantum mechanics

So people are still scratching their heads about the meaning of Schrodinger's cat, and mumbling about Einstein's distaste for the "spooky action at a distance" and all the while owing their entire internet experience to the development of QM

Just like Newton's laws, quantum mechanics may not be complete, but it has been overwhelmingly shown to be useful

Therefore the notion of it being wrong is rather moot. It can be shown to make useful predictions within the limits of the approximations necessary. The fact is, QM has proven itself over and over again to be probably the most impressive and useful theory we have

Really you should consider quantum mechanics more as you would consider a language

Then the question is whether the language of quantum mechanics is wrong for describing physical phenomena? Clearly not

It is useful and in general we don't even have an alternative

Summary

It is not so much whether quantum mechanics is valid or not, but rather whether quantum mechanics is useful, and whether there is anything to replace it

Return to top

Close this pop-up window Go to top

A  Physics  Model The  Simple  Model The  Simple  Universe

Double-slit Experiment Questions and modern physics answers on quantum mechanics

This is a question posted on the public forum Quora asking what does it mean to say that an electron goes through both slits in the double-slit experiment

"In the double-slit experiment, people say that, mathematically, an electron goes through both slits, no slits, and one slit, and that all these possibilities are in 'superposition' with each other"

"What does this mean and do we know why it happens?"

And the reply (copyright Kip Ingram 2023)

There is a lot of confusion about this because of sloppy language

In quantum theory we say that particles (or, the things we call particles, at any rate) are "represented by their wave function"

But most people don't know how to think about the wave function

The first knee-jerk reaction is to want to think about it as something that is defined "in physical space"

I.e. the wave function "has a value here", "has a value there", and so on

That is sometimes a reasonable thing to say. If you happen to be measuring the position of a single particle, you can get away with it

On the other hand, if you are measuring, say, momentum, then you really need to think of the wave function as being defined in a "space of momentum measurements"

If you're measuring spin, you think of it as being defined on a space of spin measurements. In these latter cases no distribution in physical space has any meaning or relevance

The wave function exists in a space of whatever it is you are planning to measure. It's distributed over possible measurement results

In the double slit experiment, what you eventually wind up measuring are locations on that screen, where you see the flashes

The wave function winds up having a particular value at each point on the screen, and you can use those values to determine the probability of seeing a flash there

All of those locations on the screen are, in fact, in physical space

So, in this case you can arrive at a reasonable understanding of things by thinking of the wave function as moving through space, from the particle source to the location on the screen you are considering

It's not sensible, though, to look at the wave function at some other place in the system (say, at one of the slits) and say "that is the electron"

When you run the experiment in the normal way - the way that leads to an interference pattern, you have no knowledge of where the electron is prior to seeing one of those flashes

Your intuition wants to assume that it followed a well-defined path from the source to the screen, but that's precisely what you cannot do

You gathered no information about the location of the electron except for that one flash you see on the screen, at the very end

The structure of the experiment tells you that the two slits had to be on the path - else the electron would never have made it to the screen. But you have no knowledge about any details beyond that

Basically it is just invalid to even think about any "details" of the path in between source and slit

You provided an apparatus that allowed electrons to leave the source and arrive at the screen. They did. That's the end of the story - don't try to infer or assume further details

In order to compute the probability of getting a flash at some screen location, you have to add together a term that represents one of the slits and a term that represents the other slit

But you cannot say that the electron "itself" (the whole thing, as a localized particle) went through one slit or the other. The electron was not a localized thing until you saw that flash

On the other hand, if you stick a 'which slit sensor' in there, then that gives you more information

You now can say that the electron was in a particular position at some point in time as it moved through the apparatus. And your interference pattern vanishes. You changed the conditions of the experiment, and that changed the outcome. No surprise there

Usually you work out these calculations by assuming that the electron followed a straight path from the source to a slit, and then a straight path from the slit to the screen

That is an approximation - a more fully correct calculation would consider all of the possibly bizarre paths the electron might have followed

Most of those terms will cancel one another out - that's why the straight-line assumption is a reasonable one to make. But it's not "exact"

Anyway, the point I'm trying to make here is that in this specific case, where you are ultimately caring about an electron's position, and you're only dealing with one electron at a time, you can "pretend" that the wave function is defined throughout physical space

"The electron" in some sense is that whole distribution of values - it's simply not "at" specific well-defined positions as it moves through the apparatus

And in more complicated multi-particle problems, or problems where your ultimate measurement is something other than position, you can't think of the wave function as being "in physical space" at all

It lives in some other problem-dependent "space". And you cannot look at one little portion of the wave function, somewhere within that space, and say "that is the particle".

That small portion of the wave function is just an "aspect" of the particle. A bit of potentiality re: what you may eventually measure

Stay safe and well!

Kip

Summary

It is incorrect to think of the electron as a particle that goes along a specific path in space

Return to top

Close this pop-up window Go to top

A  Physics  Model The  Simple  Model The  Simple  Universe

Quantum Entanglement Communication Questions and modern physics answers on quantum mechanics

This is a question posted on the public forum Quora asking how quantum entangled particles communicate with each other when their quantum state changes

"Is the quantum entanglement effect faster than the speed of light?"

And the reply (copyright Viktor T. Toth 2015)

It is wrong to think of entanglement as an effect that propagates through space and time with some meaningful velocity

When a pair of photons are entangled, it's not like one is sending a signal to the other to let it know how its buddy is doing

When they are entangled, it means that the same set of variables control both photons' behavior

These variables do not travel along with either photon, nor are they transmitted from one photon to the other. They simply are

Perhaps it helps to make better sense of entanglement by dropping the naive notion of particles in favor of the fields of quantum field theory

Yes, unit (quantized) excitations of those fields manifest themselves as apparent particles (at least in flat spacetime)

But it helps to remember that until a "particle" is observed through an interaction, it does not even necessarily exist as a spatially localized entity (think, e.g., about two-slit experiments)

So instead of entangled particles, what we really have is entangled excitations of fields that are present in all of space and time

So given that the location of even a single particle is not well defined in the classical sense until it is observed, perhaps the notion that two such nonlocalized entities exhibit a correlation becomes a tad less mysterious and spooky

Summary

The quantum state of entangled particles is present across all of space and time

Return to top

Close this pop-up window Go to top

A  Physics  Model The  Simple  Model The  Simple  Universe

Bell's Theorem Questions and modern physics answers on quantum mechanics

This is a question posted on the public forum Quora asking for a simple explanation of Bell's theorem

"Can you explain Bell's theorem using high-school level physics and math, without using any terminology from quantum mechanics or information theory?"

And the reply (copyright Kip Ingram 2023)

Bell's theorem is really a theorem about classical physics, not quantum physics

The theorem places limits on the predictions a classical theory can make

It's important because quantum theory does make predictions that violate those limits, and in experiments those predictions of quantum theory turn out to be correct

What it basically means is that quantum theory cannot be a classical theory, and that no classical theory we might conceive in the future can make the same predictions as quantum theory

An analogy can help you see the sort of limitations Bell was talking about

Imagine that Alice and Bob have a large number of boxes. Each box contains three coins, and any coin can be gold or silver

Alice and Bob intend to work their way through all of the boxes. For each box Alice reaches in and draws out a coin, and then Bob reaches into the same box and draws out a coin

Without looking, of course - the coins they wind up with will be random. Then they compare the two coins that they picked and record whether their coin types match, or don't match

At the end of the entire series of tests they will have a match / mismatch percentage

Prior to the session, you get to prepare the boxes any way you want. Your goal is to control what match / mismatch percentage they wind up with when they're done. Hopefully this is simple and clear to you

Some things are easy for you to achieve

Say you want them to match 100% of the time. That's easy - you just make every coin gold, or every coin silver, and then there is no way for them to mismatch

However, what if your goal is to have them match less than 100% of the time - say N% of the time. If they match N% of the time, they will mismatch 100-N % of the time, obviously

Ok, what values of N can you achieve?

There are really only two ways you can prepare a box that "matter's". You can either make all three coins identical, or you can make two of them identical and the third opposite

If Alice and Bob use a box that has three matching coins, their choices will match - there's no way around that. Expressing that formally, we say p(match) | identical = 1.0

If, however, they choose a box with two coins the same and the third different, then there are other possibilities

Let's go through these

Alice has a 1/3 probabiility of selecting the odd coin. In that case they will mismatch, because Bob only has mismatching coins left to choose

On the other hand, Alice has a 2/3 probability of selecting one of the matching coins, and then there is a 50% chance of Bob selecting the other one. So, p(match) | non-identical = (2/3)*(1/2) = 1/3

Let's say you prepare the boxes so that M% of the boxes are identical, and 100-M% are non-identical. The overall match rate Bob and Alice will achieve then has to be

Overall_Match = M + (100-M)*(1/3) = (1/3) + (2/3)*M

You can choose M to be any value from 0% to 100%

Now, consider what this means. There is no way for you to cause Alice and Bob to match less than 1/3 of the time, even if you set M to 0

This is the kind of statement that Bell's theorem makes about classical physics

Real tests in physics can be crafted that are described by this same kind of logic

And it turns out that things can be arranged so that quantum physics would predict a match rate as low as 1/4

1/4 is less than 1/3, so "classical physics" would offer no initial conditions that would lead to such an outcome

However, when we run those experiments, the "match rate" (or whatever corresponds to it in the real experiment) does indeed turn out to be 1/4

In the box experiment this would imply that Alice's choice of coin would somehow influence Bob's choice of coin

But these experiments are typically done so that Alice and Bob's "choice actions" are separated in space by a long distance but performed near-simultaneously, so that news of Alice's outcome couldn't reach Bob in time, even traveling at the speed of light

That doesn't matter, though - the end result is still 1/4

Classical physics simply cannot explain these outcomes. Bell's theorem is a physics equivalent of the Overall_Match >= 1/3 result we obtained above

Hope this clarifies it for you!

Stay safe and well!

Kip

Summary

Bell's theorem states the lowest probability of an outcome for an experiment that a classical explanation can achieve

In practice, the experiment produces a lower probability of the outcome, and that lower outcome is the same as that predicted by quantum theory

Therefore, quantum theory cannot be a classical theory


As a note, could there be an assumption being applied to the classical version of what happens, that is not true?

Return to top

Close this pop-up window Go to top

A  Physics  Model The  Simple  Model The  Simple  Universe

Why Does A Photon Reflect Questions and modern physics answers on quantum mechanics

This is a question posted on the public forum Quora asking why a photon reflects from a mirror

"Why does a photon reflect from a mirror, if the electromagnetic field it is traveling through, passes through the mirror?"

And the reply (copyright Mark John Fernee 2023)

I think we're going to have to treat reflection in a little bit of detail here

First let's look at the surface of a silver mirror magnified nearly one million times

magnified mirror surface



A single atom is about one thousand times smaller than the scale bar in the exploded inset. The apparent roughness is far greater than the atomic scale. However, such a surface is capable of perfectly reflecting a photon

Silver mirrors are commonly used in optics labs because they are relatively cheap and low loss. The key parameter for a good mirror is their flatness. Their surface needs only to be flat to a tolerance if one quarter (tenth for good quality) of a wavelength

As you can see, that doesn't mean atomic flatness. You could be excused for thinking that this is an image of a piece of sandpaper

A photon is a single quantum excitation of an electromagnetic field mode. That might sound like technical jargon, so here is an image to show some field modes

magnified mirror surface



Those green beams represent the field modes. Note, this image has been enhanced to reveal the beams. In a good clean lab the beams would be virtually invisible. In any case, we're talking about photons here, so the beam definitely won't be visible

However, the spatial region of the beam defines the mode. In fact, you actually use lasers to align single photon experiments specifically because the laser mode will be the same as the single photon mode

That means when a mode reflects off a mirror surface, the mirror effectively couples one field mode into another (in the reflected direction)

Now we have to reconcile the fact that our mirror surface is atomically very rough, yet this rough surface has to direct the photon in a very specific direction

This is where the absorption / re-emission model is severely lacking in being intuitive. When people talk about that, they are giving you a visual representation of a mathematical integral that includes all the atoms on the surface of the mirror

In other words, this description includes all possible scattering directions that add in superposition to cancel in all but the reflected direction

Furthermore, this is not real absorption / re-emission, rather that's also part of the integral that includes all possible intermediate states of the atom

In other words, all scattering directions and all possible intermediate states are used in the calculation

The bottom line is that this doesn't mean real absorption, because real absorption will entail decoherence of the scattering process so that the amplitudes will not cancel in all other directions

In other words, this is a highly misleading description of the process of reflection

There is an easier way to consider reflection, so that you can understand how an atomically rough surface can still provide a high quality reflected beam, and that's using the wave picture of the photon

The field modes illustrated above are macroscopic. So a single photon is essentially this big. That means the photon interacts with a large portion of the mirror, not just a single atom

Furthermore, this interaction is nondissipative (non absorbing), which means the atoms in the mirror surface collectively respond to the photon in phase, and that response is linear

In essence, the photon interacts with the surface, and the surface reacts back. This back-reaction generates a photon travelling in the reflected mode

If you like, you can imagine all the atoms wiggling in phase. This is no less correct than the particle absorption / re-emission picture usually trotted out, but far more intuitive

This view explains how a rough surface can be a good reflector because the phase of the response will depend on the height of the atom on the surface, which means they'll all have the correct relative phase for a perfect reflection

Using this approach, the flatness criterion makes sense. The mirror needs to be flat enough that all the phases across the entire mirror are properly matched. This is essentially Huygens' principle

As for the photon continuing into the mirror, you can show that the response of the atoms in the forward direction effectively cancels, such that there is no real mode inside the mirror

Instead there is a non-propagating mode called an evanescent mode. This mode deceases exponentially from the surface and is characterised by the skin-depth

If the metal coating is thinner than the skin-depth, a real propagating mode can continue on the other side

This means the mirror is partially reflecting, which is the principle behind making two-way mirrors. In optics, these are just called beam splitters

Mind you, this process is a type of quantum tunneling. So the next time you see a pair of reflective sunglasses, you can consider them to be quantum tunneling devices

Summary

The explanation of reflection is complicated

Return to top

Close this pop-up window Go to top

A  Physics  Model The  Simple  Model The  Simple  Universe

How Can A Photon Travel In Every Direction Questions and modern physics answers on quantum mechanics

This is a question posted on the public forum Quora asking how can a photon travel in every direction simultaneously

"How can a photon travel in every direction simultaneously before it strikes something?"

And the reply (copyright Viktor T. Toth 2017)

If you imagine a photon as a miniature cannonball, of course it cannot

But this is a prime example why you should not try to imagine a photon, or other elementary particles, as miniature cannonballs

Indeed, why intuition usually fails when trying to comprehend quantum physics, and why it is important to study the math

Photons are excitations of the electromagnetic field. The fundamental object is the one-and-only electromagnetic field, obeying a quantized form of Maxwell's equations

A direct consequence of quantization is that at any given frequency, the field's energy will increase or decrease in steps. These "excitations" are what we call photons

So suppose something emits a photon. What actually happens is that an excitation is generated in the electromagnetic field. This excitation has certain properties, including energy and momentum

The equations that tell us how these excitations propagate in the field also tell us the likelihood of observing them at various places. In the end, when we observe a photon, it means that we are extracting an excitation from the field

A way to interpret, or comprehend, the governing equations is by imagining every possible path that an imaginary "miniature cannonball" photon might take and assigning a probability to it

But this is all in our minds. It does not mean that an actual, physical photon goes every direction simultaneously

It does not even mean that an actual, physical photon exists as a miniature cannonball. It is just a mental image; a convenient mental tool, that's all

The physical reality, at least in the best theory that we have that actually works (quantum field theory) is that the physical object is the quantum field and its excitations

The particles are an illusion for the way we perceive the field's excitations in experiments, where the interaction with the field is localized

Summary

The explanation of how a photon travels is complicated

Return to top

Close this pop-up window Go to top

A  Physics  Model The  Simple  Model The  Simple  Universe

Why Do Quarks Violate The Exclusion Principle Questions and modern physics answers on the Standard Model of particles

This is a question posted on the public forum Quora asking about the Pauli exclusion principle

"Why do quarks apparently seem to violate the Pauli exclusion principle?"

And the reply (copyright Paul Rakow 2022)

Way back in the mid 1960's, when quarks were still a new speculative idea, this was an important question

There were known particles such as the △++ (Delta plus plus), which contains three up quarks, all with the same spin, and all in the same orbital

So that looked like a problem for the Pauli exclusion principle

However, then along came QCD (Quantum Chromodynamics). QCD introduced a new quantum number, called "colour" (due to a weak analogy with human colour vision)

In QCD the three quarks in a △++ have different colours, and the Pauli exclusion principle was saved (over 50 years ago)

Summary

As a principle, a quark in a particle is required to be in some way different to the other quarks in that particle

The same principle applies to electrons and protons in an atom

There is no principle for photons to behave like this

Return to top

Close this pop-up window Go to top

A  Physics  Model The  Simple  Model The  Simple  Universe

Quark Types Questions and modern physics answers on the Standard Model of particles

This is a question posted on the public forum Quora asking about the different types of quarks

"What is the difference between the up, down, strange, charmed, top and bottom quarks?"

And the reply (copyright Helen Brooks 2022)

We refer to these different species of quark as being different flavours. There are three families of quarks, and each family has an up-type with positive charge +2/3, and a down-type with negative charge -1/3

The first family contains the up and down; these are the lightest and make up much of ordinary matter, because their bound states include ordinary proton and neutrons

The next family, which is somewhat heavier consists of the charm and strange. The mass differences are not the same in each family:- while the up and down have very similar masses, the charm is about 10 times heavier than the strange

The final family consists of the top and bottom. The top quark is the heaviest of all, having nearly the mass of a gold nucleus

I could probably stop there. But here are some more interesting points

You can change from up-type to down-type or vice versa by emitting charged W bosons (there are two, with opposite charge), providing there is enough energy to create the mass of the new quark

Now mostly, the quarks prefer to stay in their pairs. However some of the time quarks will morph into one of a different family. This means there is route to decay from the heaviest quarks down to the lightest quarks. The heavier the quark, the more options it has to decay

This makes the heavier quarks, like the top, unstable, meaning they have very short lifetimes. This is why we don't see heavy quark matter in day to day life. In fact the top quark wasn't discovered until 1995

The top quark is interesting for other reasons. It is so unstable it does not even live long enough to form bound states with other quarks (called hadrons)

Studying quarks through hadrons is a very messy business, and makes it hard to make accurate mass determinations. But the top will show up as a resonance, so it's mass and other properties can be measured

This is actually quite important, because the top is the heaviest particle in the Standard Model, which could make it one of the most sensitive to new physics at higher scales (it depends on your model of course). So a lot of effort is going into making accurate measurements of this particle

Bottom quarks do form hadrons, but these still decay quickly enough to produce a recognisable signature in the detector

The precision study of B mesons (quark/antiquark bound states) at the LHC experiment may shed some light on questions such as why there is more matter than antimatter in the universe

I could go on. The point is on paper, there are not huge differences, but in practice the physics that results from those differences is very rich

Summary

An up quark, a charm quark and a top quark have a positive two thirds charge of elementary charge

A down quark, a strange quark, and a bottom quark have a negative one third charge of elementary charge

Return to top

Close this pop-up window Go to top

A  Physics  Model The  Simple  Model The  Simple  Universe

Is The Standard Model Complete Questions and modern physics answers on the Standard Model of particles

This is a question posted on the public forum Quora asking if the Standard Model is complete

"Is the particle content of the Standard Model complete?"

"Isn't the axion whose field is needed to make strong interactions ('naturally' CP invariant missing)?"

And the reply (copyright Viktor T. Toth 2021)

The particle model of the Standard Model is complete

The last remaining particle, predicted by the Standard Model, was the Higgs boson, which was discovered almost ten years ago

Now yes, there are extensions of the Standard Model that are designed to account for features not (or not adequately) explained by the model

For starters, neutrinos in the Standard Model are massless. Massive neutrinos require an extension, and it is not at all trivial to incorporate massive neutrinos without breaking some of the "nice" features of the model

And yes, axions are also a proposed extension of the Standard Model

The Standard Model Lagrangian could have, in the QCD (Quantum Chromodynamics) sector, a CP violating term but it doesn't, or at the very least if it does, it is present with a coefficient so small, the term is not detectable. This could be explained by the presence of a new scalar field, which would "naturally" make the CP violating term very small

Others mentioned gravitons but of course gravitons are not part of the Standard Model, and never were

Perhaps it is possible to extend the Standard Model into a proper "Theory of Everything", which incorporates gravitation. That hasn't happened yet

There are also other proposed extensions, such as a non-trivial Higgs sector with additional Higgs particles to be discovered, not to mention supersymmetry, which proposes the existence of superpartners (bosons for fermions, fermions for bosons) for every field in the Standard Model

To date, there's no experimental evidence for any of these, except for the fact that at least two of the three neutrino species have to be massive, and the vanishing CP violating field in the QCD sector which may or may not indicate an axion

Summary

The particle content of the Standard Model is complete

Return to top

Close this pop-up window Go to top

A  Physics  Model The  Simple  Model The  Simple  Universe

Is String Theory Real Reply 1 Questions and modern physics answers on the Standard Model of particles

This is a question posted on the public forum Quora asking if string theory is a real theory

"Is string theory real?"

"Are there really other dimensions and other worlds than ours?"

And the reply (copyright Viktor T. Toth 2018)

Oh, string theory is real. It is a real theory

As I am writing these words, there are probably thousands, if not tens of thousands of theoretical physicists around the world working on it, developing calculations, editing and publishing papers

Is supersymmetric string theory an accurate description of reality?

Now that's a different question

Its adherents are, of course, quite convinced and point at the numerous theoretical successes

Others, however, (myself included, but my opinion is really not relevant as my knowledge of string theory is very limited) are skeptical, and point out that even though it has been around for decades, string theory failed to make a single prediction that can be tested through observation or experiment

Summary

It is not known if string theory is a real description of the universe

Return to top

Close this pop-up window Go to top

A  Physics  Model The  Simple  Model The  Simple  Universe

Is String Theory Real Reply 2 Questions and modern physics answers on the Standard Model of particles

This is a question posted on the public forum Quora asking if string theory is a real theory

"Is string theory in science real or fake?"

"Do you see 10 dimensions?"

"Are there 10 dimensions in the universe?"

And the reply (copyright Suresh Kumar 2022)

Many physicists consider string theory our best hope for combining quantum physics and gravity into a unified theory of everything

Yet a contrary opinion is that the concept is practically pseudoscience, because it seems to be nearly impossible to test through experiments

The theory replaces elementary particles with infinitesimally thin strings to reconcile the apparently incompatible theories that describe gravity and the quantum world

Scientists classified string theory as testable "in principle" and thus perfectly scientific, because the strings are potentially detectable

In a very real sense, string theory can never be proved; it can just meet the test of time, the same way that other theories have done. For scientists, this slight distinction is known and accepted, but there's some confusion about it among nonscientists

Although there was conference on it, spurred by a controversial opinion piece written by George Ellis and Joe Silk, the answer is very clear

No, string theory has not yet risen to the level of a scientific theory

Although the theory has been in development for nearly 40 years, it is still not a universally accepted physical paradigm

Supporters of the theory allege that it has brought physics closer to finding a single theory of everything, and that the string paradigm will eventually prove itself to be the correct one

Summary

It is not known if string theory is a real description of the universe

Return to top

Close this pop-up window Go to top

A  Physics  Model The  Simple  Model The  Simple  Universe

How Can A Proton Emit A Positron Questions and modern physics answers on the Standard Model of particles

This is a question posted on the public forum Quora asking how a proton in an atomic nucleus can emit a positron

"If a neutron is heavier than a proton"

"Why do protons decay into neutron, β+, and electron neutrino during positron emission?"

And the reply (copyright Lucas Curtis 2019)

That's a really good, insightful question!

Okay, a free neutron is more massive than a free proton:- that is true

So, all other things being equal, you would expect a nucleus to get heavier when it undergoes positron emission(*)

(*) i.e. when a proton in the nucleus changes into a neutron in the nucleus, you would expect the nucleus to get heavier

Ah, but we're forgetting about mass defect. In any bound group of nucleons (so, an atomic nucleus) some of the particles' mass is converted to binding energy, which holds the nucleus together

Consider carbon-11, which can emit a positron and transmute itself into boron-11

carbon-11 -> boron-11 + e+ + ve

The mass of C-11 is 11.011433 amu

The mass of B-11 is 11.009305 amu

The rest mass of a positron is the same as an electron:- 0.000548756 amu. The rest mass of an electron neutrino is not well-defined, but is probably in the same order of magnitude as the electron rest mass. So let's say that the electron neutrino also has a mass of 0.000548756 amu

So, the total mass of the "product" side is roughly 11.010403 amu - just a shade less than the rest mass of the C-11 nucleus

In other words, there is a net decrease in mass(*), despite the fact that the rest mass of a free proton is greater(assumed to be a typo) less than the rest mass of a free neutron

(*) there is a decrease in mass of the nucleus, despite a (free) neutron having a greater mass than a (free) proton

The decrease in mass (aka the mass defect) is accounted for by the kinetic energy of the particles ejected from the nucleus, and by the energy that holds the nucleus together

We know that positron emission happens in nuclei like carbon-11, so it must be energetically feasible. The fact that the process is overall exergonic constrains the upper mass of an electron neutrino

Summary

When a positron is emitted from an atomic nucleus, the extra mass that is required to convert one of the protons into a neutron and the emitted positron, is taken from the binding energy of the nucleus

Nuclear binding energy is the energy required to disassemble an atomic nucleus into the free, unbound neutrons and protons that the nucleus is composed of

Return to top

Close this pop-up window Go to top

A  Physics  Model The  Simple  Model The  Simple  Universe

Neutrinos And Photons Questions and modern physics answers on the Standard Model of particles

This is a question posted on the public forum Quora asking how is a neutrino different from a photon

"How is a neutrino in free space different from a photon in free space?"

And the reply (copyright Viktor T. Toth 2017)

First of all, let me tell you how similar they are

Both neutrinos and photons travel fast. Photons at the speed of light, neutrinos, almost so

They both travel in more or less straight lines, their direction of propagation affected only by gravity and the occasional interaction with matter

But they are nonetheless quite different

For starters, neutrinos have mass

This means that they actually travel slightly slower than massless photons in the vacuum

However, the neutrino mass is so tiny, we have never been able to measure this difference in speed in any observation. When neutrinos were observed from distant supernova explosions, they arrived at the same time as photons, the difference limited to the measurement error and uncertainties in our knowledge of how these explosions unfold in detail

Another difference is that photons are the quanta of a "vector" field; neutrinos are the quanta of a "spinor" field

This difference actually means less in practice than one might think, but there is a curious twist that I shall explain below

The nature of massless vector particles like photons is such that they come in two polarization states, which are perpendicular to each other

A polarization filter, like some sunglasses, filters out photons in one polarization state and forces the rest to be in the other state. This helps filter out some sunlight, polarized by the atmosphere

Two polarization filters in sequence can be oriented at 90 degrees, so that they let no light through whatsoever. This principle is used in liquid crystal displays

In contrast, neutrinos have two "spin" states

Similar, but not quite the same as polarization

The curious twist is that neutrinos only ever appear in one of those two spin states. The other spin state is absent, and we don't know why

Antineutrinos, in contrast, only appear in the other spin state

Photons are their own antiparticle

This really doesn't mean much, because even if two photons were to annihilate each other, they'd produce… you guessed it, two photons

Neutrinos? I mentioned antineutrinos before, but we really don't know if they are distinct particles, or if neutrinos, like photons, are their own antiparticle. (There are some on-going experiments aimed at finding out more about this)

But perhaps the biggest practical difference is that we can see photons but we don't see neutrinos

Photons interact directly with any charged particle, including positively charged atomic nuclei and the negatively charged electrons around them

In particular, they can induce chemical changes (changes in how electrons bind atoms together), which is how our vision works

Neutrinos? They really don't interact with anything except for some extremely massive particles (the Z and W bosons)

This means that for a neutrino to interact with an atom via these particles, it has to have very high energy... otherwise, the interaction is very improbable

So neutrinos normally fly through matter as though it wasn't even there

They fly through the Earth, they even fly through the Sun, mostly unimpeded

So whereas detecting photons requires nothing more than a Mark I eyeball, detecting neutrinos requires extremely large, complex detectors... and even those detectors fail to detect the vast majority of neutrinos that fly through them, as though they were in free space

Summary

A neutrino has a tiny mass and rarely interacts with anything, whereas a photon has no mass and interacts easily with charged particles

Return to top

Close this pop-up window Go to top

A  Physics  Model The  Simple  Model The  Simple  Universe

What Does A Quark Look Like Questions and modern physics answers on the Standard Model of particles

This is a question posted on the public forum Quora asking about a quark particle

"What does a quark look like?"

And the reply (copyright Viktor T. Toth 2016)

The problem is that you are trying to think of quarks as tangible objects

They are no more tangible than any of the normal modes of a vibrating guitar string. They are measurable, they have energy, but they are not a "thing" you can grab and put in your pocket

In the best theory that we have, quantum field theory, "particles" are just that: normal modes of vibration of the underlying, ever-present field

In fact, when you do quantum field theory in an accelerated reference frame, it becomes clear just how ephemeral this concept of "particles" really is

Two observers accelerating relative to each other will disagree on what particles they see. Where one observer sees particles (e.g. Unruh or Hawking radiation), another observer who is accelerating just the right way may see nothing at all

So no, quarks don't "look like" anything. Sorry

Summary

A quark particle does not look like anything

Return to top

Close this pop-up window Go to top

A  Physics  Model The  Simple  Model The  Simple  Universe

Why Does A Particle Have A Spin Questions and modern physics answers on the Standard Model of particles

This is a question posted on the public forum Quora asking why elementary particles have spin

"Why does a particle have a spin?"

And the reply (copyright Jeffrey Werbock 2024)

They don't

Physicists borrow words from everyday language and use them as their jargon

Nothing is literally, physically spinning

The word (and concept) of the "particle" is a holdover from the early days of quantum physics when that was the way physicists thought and talked

But ever since QFT was developed, there's a new paradigm which dispenses with that misleading idea of particles, even though the word persists in the quantum physics narrative

QFT emphasizes the primacy of the field, which oscillates due to the dynamism of the force interactions which generate fields

And when two oscillating fields interact (such as detection), the fields, which are contiguous, undergo an excitation of the field, which is not contiguous, it is incremental

Hence the concept of the quantum, a word which literally means minimum quantity

All this time physicists have been talking about a moment in time, the quantum, as if it is an object, when in reality it is a measurement, the minimum quantity of energy content that can be detected in a given field

A "particle" is the localization in time and space of the interaction of two oscillating fields

Summary

Elementary particles do not spin

Return to top

Close this pop-up window Go to top

A  Physics  Model The  Simple  Model The  Simple  Universe

Why Was The Initial Universe Not A Black Hole Questions and modern physics answers on the universe

This is a question posted on the public forum Quora asking why was the initial universe not a black hole

"Why didn't the universe collapse into a black hole just seconds after the Big Bang?"

"I imagine it was very dense at that moment"

And the reply (copyright Viktor T. Toth 2015)

A black hole is characterized by singular matter density at a well-defined location in space, surrounded by vacuum. This means that stuff keeps falling towards the singularity, being attracted by it

In contrast, the density of the early universe was extremely high everywhere

Moreover, the early universe is also believed to have been homogeneous, so the density was the same everywhere

So take a particle of matter

Why would it fall towards the putative black hole on the left instead of falling towards the one on the right? The answer is, it wouldn't; it would stay put, being no more attracted in one direction than in any other direction

So instead of collapsing, the universe continues its initial expansion and gets larger

That is not to say that gravity plays no role. Of course it does! It slows down the expansion

If the matter density of the universe had been high enough, it could have stopped the expansion a long time ago, causing the universe to contract and collapse. But as far as we can tell, this is not the case in our universe

Summary

The early universe was dense and the density was the same everywhere

Return to top

Close this pop-up window Go to top

A  Physics  Model The  Simple  Model The  Simple  Universe

Quantum Fields And The Big Bang Questions and modern physics answers on the universe

This is a question posted on the public forum Quora asking about quantum fields and the Big Bang

"Were the quantum fields present before the Big Bang?"

"Or were they created after the universe had been projected forth?"

And the reply (copyright Rich Hochstim 2022)

Eternal inflation posits that not only were quantum fields present, so was an entire universe

Random fluctuations of these fields were thought to exceed a threshold value resulting in the formation of a new universe, with a unique set of physical constants, and rules, which the nascent "pocket universe" operates by

Summary

Eternal inflation is an extension of the Big Bang theory

Return to top